How to Use
This page provides a concise overview of how to perform an analysis with the cWB pipeline.
Parameter files for the production and post-production stages:
parameter file for the production stage |
|
parameter file for the post-production stage |
Procedure to set up the working environment and perform the analysis:
Detailed information on the main analysis stages are available at the following links:
setting up the working environment
running the analysis
collecting the results and generating figures of merit
lists of triggers parameters
overview of the web pages collecting the analysis results
guidelines on the calculation of the false alarm rate-density statistic
Examples on how to perform analyses with cWB:
an example of a background estimation |
|
an example of a simulation study |
|
Example of a search for intermediate mass black hole binaries |
|
a step-by-step guide to perform a multi-stage analysis |
|
a step-by-step guide to perform a two-stage analysis |
|
How to merge multiple backgrounds into a single report |
|
How to do the analysis of the most significative events |
|
How to do the Parameter Estimation analysis |
Flow-chart

user_parameters.C
The pipeline has a default parameter file called cwb_parameters.C which contains the list of needed variables for the analysis set at a certain value. The user can modify some of these values adding them in the config/user_parameters.C file. We report here all the variable contained in the cwb_parameters.C file, the user can change each of them accordingly to his/her preferences.
To obtain complete list of parameters with default setting:
root -b -l $cWB_PARAMETERS_FILE
cwb[0] cWB::config cfg; // creates the config object
cwb[1] cfg.Import(); // import parameter from CINT
cwb[2] cfg.Print(); // print the default parameters
This is the complete file:
cwb2G_parameters.C
We divide the file in different sections for simplicity:
Type of analysis (1G/2G : 1G is obsolete, not supported) |
|
How to include detectors |
|
how to define wavelet decomposition level |
|
Parameters for Regression |
|
Pixels and Cluster selection |
|
Pixels Selection & Reconstruction |
|
Time segments definition |
|
Typical parameter for background |
|
Typical parameter for simulation (MDC) |
|
Change frame data (amplitude and time shift) |
|
Likelihood regolators |
|
How to define the sky grid |
|
Parameters for CED generation |
|
How to include frame and DQ files |
|
How to include Plugins |
|
Decide what information to store in the final root files |
|
Set up of working dir |
Analysis
char analysis[8]="2G"; // 2G analysis (1G is obsolete, not supported)
bool online=false; // true/false -> online/offline
char search = 'r'; // see description below
- analysis:
Setting first generation detector (1G) or second generation detector (2G) analysis. 1G is obsolete, not more supported
- online:
Defining if the analysis is ONLINE or not
- cfg_search:
putting a letter define search constrains on waveform polarization.
// r - un-modeled // i - iota - wave (no dispersion correction) // p - Psi - wave // l,s - linear // c,g - circular // e,b - elliptical (no dispersion correction) // low/upper case search (like 'i'/'I') & optim=false - standard MRA // low case search (like 'i') & optim=true - extract PCs from a single resolution // upper case (like 'I') & optim=true - standard single resolution analysis
Detectors
L1: 4km Livingston
H1: 4km Hanford
H2: 2km Hanford (working until S6 run)
V1: 3km Virgo
I1: Indian
K1: KAGRA
Moreover, it is possible to define a not included detector specifying the position on the Earth and the arms direction.
int nIFO = 3; // size of network starting with first detector ifo[]
char refIFO[4] = "L1"; // reference IFO
char ifo[NIFO_MAX][8];
for(int i=6;i<NIFO_MAX;i++) strcpy(ifo[i],""); // ifo[] can be redefined by user
detectorParams detParms[NIFO_MAX];
detectorParams _detParms = {"",0.,0.,0.,0,0.,0.,0.};
for(int i=0;i<NIFO_MAX;i++) detParms[i] = _detParms;
- nIFO
Number of detectors in the network, this number should be less than IFO_MAX=8.
- refIFO
A detector is used as reference for the search in the sky grid. This detectors is never shifted.
- ifo
List of detectors already included in the library. If the user has to redefine a detector, can leave this blank void.
- detParms
List of detectors defined by the user, the internal parameters are:
Name
Latitude [degrees]
Longitude [degree]
Altitude [m]
…
Angle of x arm respect to the North
…
Angle of y arm respect to the North
Example:
nIFO = 2;
strcpy(ifo[0],"L1");
strcpy(ifo[1],"");
detParms[1] = {"I1", 14.4, 76.4, 0.0, 0, (+135+0.0 ), 0, ( +45+0.0 )}, // I1
Wavelet TF transformation
Wavelet decomposition transforms data from time domain to Time-Frequency (TF) domain. Original information are stored in TF pixels which can have various TF resolutions DF and DT, such as DF*DT=0.5 The TF resolutions are decided by the wavelet decomposition levels used and the sample rate in time domain. For instance, with a sample rate R and level N we have:
DF = (R/2)/2^N
DT = 2^N/R
cWB combines the amplitude TF pixels from multiple TF decomposition levels.
The parameters are:
size_t inRate= 16384; // input data rate
double fResample = 0.; // if zero resampling is not applied (this parameter may be obsolete)
int levelR = 2; // resampling level (obsolete because of new parameter fsample)
int l_low = 3; // low frequency resolution level
int l_high = 8; // high frequency resolution level
For 2G analysis:
char wdmXTalk[1024] = "wdmXTalk/OverlapCatalog_Lev_8_16_32_64_128_256_iNu_4_Prec_10.bin";
// catalog of WDM cross-talk coefficients
- inRate
Sample rate of input data for all detectors.
- fResample
If different from zero, the input data are resample to this new sample rate before starting any decomposition
- levelR
Resapling level. It uses wavelet decomposition to downsample data from starting rate to the desired rate. Using wavelet decomposition, levelR is decided according to the formula above.
- low
This is the minimum decomposition level used in the analysis.
- high
This is the maximum level decomposition analysis.
- wdmTalk
for WDM transform, this file containes the information how to apply time shift in TF decomposition.
Example: With the default number, starting from a sample rate of 16384 Hz, the levelR make a dowsample to 4096 Hz. Low and high have respectively TF resolutions of DF/DT = 2ms/256Hz and 62.5ms/8Hz.
Conditioning
The conditioning step removes the persistent lines and apply the whitening procedure. For 2G analysis, the line removal is obtained using the Regression algorithm. The whitening procedure uses the whiteWindow and whiteStride parameters, see whitened procedure.
int levelD = 8; // decomposition level
double whiteWindow = 60.; // [sec] time window dT. if = 0 - dT=T, where T is segment duration
double whiteStride = 20.; // [sec] noise sampling time stride
- levelD
At this decomposition level the pipeline applied the regression algorithm and the whitening procedure.
Cluster thresholds
double x2or = 1.5; // 2 OR threshold
double netRHO= 3.5; // threshold on rho
double netCC = 0.5; // threshold on network correlation
double bpp = 0.0001; // probability for pixel selection
double Acore = sqrt(2); // threshold for selection of core pixels
double Tgap = 0.05; // time gap between clusters (sec)
double Fgap = 128.; // frequency gap between clusters (Hz)
double TFgap = 6.; // threshold on the time-frequency separation between two pixels
double fLow = 64.; // low frequency of the search
double fHigh = 2048.; // high frequency of the search
- netRHO:
Cluster are selected in production stage if rho is bigger than netRHO
- netCC:
Cluster are selected in production stage if rho is bigger than netCC
- bpp: Black Pixel Probability
Fraction of most energetic pixels selected from the TF map to construct events
- Acore:
Threshold used to select the core pixels (in units of sigma) in the supercluster, likelihood stages.
- Tgap and Fgap
Maximum gaps between two different TF pixels at the same decomposition level that can be considered for an unique event
- TFgap
Threshold on the time-frequency separation between two pixels
- fLow and fHigh
Boundary frequency limits for the analysis. Note: This limits are considered directly in the TF decomposition, so the pipeline chooses the nearest frequencies to these values according to the decomposition level
Wave Packet parameters
Pixels Selection & Reconstruction (see The WDM packets)
// patterns: "/" - ring-up, "\" - ring-down, "|" - delta, "-" line, "*" - single
pattern = 0 - "*" 1-pixel standard search
pattern = 1 - "3|" 3-pixels vertical packet (delta)
pattern = 2 - "3-" 3-pixels horizontal packet (line)
pattern = 3 - "3/" 3-pixels diagonal packet (ring-up)
pattern = 4 - "3\" 3-pixels anti-diagonal packet (ring-down)
pattern = 5 - "5/" 5-pixels diagonal packet (ring-up)
pattern = 6 - "5\" 5-pixels anti-diagonal packet (ring-down)
pattern = 7 - "3+" 5-pixels plus packet (plus)
pattern = 8 - "3x" 5-pixels cross packet (cross)
pattern = 9 - "9p" 9-pixels square packet (box)
pattern = else - "*" 1-pixel packet (single)
pattern==0 Standard Search : std-pixel selection + likelihood2G
pattern!=0 && pattern<0 Mixed Search : packet-pixel selection + likelihood2G
pattern!=0 && pattern>0 Packed Search : packet-pixel selection + likelihoodWP
Job settings
This section sets the time length for the jobs (see also How job segments are created).
// segments
int runID = 0; // run number, set in the production job
double segLen = 600.; // Segment length [sec]
double segMLS = 300.; // Minimum Segment Length after DQ_CAT1 [sec]
double segTHR = 30.; // Minimum Segment Length after DQ_CAT2 [sec]
double segEdge = 8.; // wavelet boundary offset [sec]
- runID
job number to be analysed. This parameters is auotmatically overwritten when using condor submission (see cwb_condor) and cwb_inet command
- segLen [s]
is the typical and maximum job length. This is the only possible lenght is super lags are used. (For super-lags see Production parameters)
- segMLS [s]
is the minimum job lenght in seconds. It could happens that after application of Data Quality it is not possible to have a continous period of lenght segLen, so the pipeline consider the remaining period if this has a lenght bigger than segMLS. This means that job could have segMLS < lenght < segLen.
- segTHR [s]
is the minimum period of each job that survives after DQ_CAT2 application . This means that, if a job of 600 s, has a period of CAT2 less than segTHR, it is discarded from the analysis. If segTHR = 0, this check is disabled.
- segEdge [s]
is a scratch period used by the pipeline for the wavelet decomposition. For each job the first and last segEdge seconds are not considered for the trigger selection.
Production parameters
Even if shifts are performed circularly, no data are loss, and shifting the detector A respect to B of the time K, is the same as shifting detector B of the time -K respect to A. So, considering N detectors composing the network, the number of possible lag shifts are (N-1)*M for each job. For N>2 case, the algorithm can perform two different ways:
shifts only the first detector respect to the other (inadvisable);
randomly choose from the list of available shifts a subset that are used in the analysis according to user definition. Randomization algorithm depends only on the detector number and the maximum possible shift.
It is possible to write in a text file the lag list applied. The lags are stored with a progressive number which identifies univocally the lags. The lags parameters are:
- lagSize
Lags numbers used (for Simulation stage should be set to 1)
- lagStep
Time step for the shifts
- lagOff
Progressive number of the lag list from which starting to select the subset.
- lagMax
Maximum Allowable shift. If lagMax=0, than only the first detector is shifted, and the maximum allowable shift is given by lagSize parameter. If lagMax > 0 better to chech if lagMax*lagStep < T, otherwise could be possible to loose some lags.
- lagMode
Possibility to write (w)/read (r) the lag list to/from a file.
- lagFile
File name which can be written/read according to the previous parameter. If lagMode=w and lagFile=NULL no file is written. If lagMode=r and tlagFile=NULL the pipeline returns an error
- lagSite
This parameter is a pointer to a size_t array and it is used to declare the detectors with the same site location like H1H2. This information is used by the built-in lag generator to associate the same lags to the detectors which are in the same site. If detectors are all in different sites the default value must be used (lagSite=NULL)
Example : L1H1H2V1 lagSite = new size_t[4]; lagSite[0]=0; lagSite[1]=1; lagSite[2]=1; lagSite[3]=2;
- shifts
Array for each detector which the possibilty to apply a constant circular shifts to the detectors (storically, no more used)
- mlagStep
To limit computational load, it is possible to cicle over the lagSize number of lags in subsets of size equal to mlagStep instead of all the lags together. This reduce computational load and increase computational time.
Examples :
2 detectors L1,H1 : 351 standard built-in lags (include zero lag)
lagSize = 351; // number of lags
lagStep = 1.; // time interval between lags = 1 sec
lagOff = 0; // start from lag=0, include zero lag
lagMax = 0; // standard lags
the output lag list is :
lag ifoL1 ifoH1
0 0.00000 0.00000
1 1.00000 0.00000
2 2.00000 0.00000
... ......... .......
350 350.00000 0.00000
note : values ifoDX are in secs
3 detectors L1,H1,V1 : 350 random built-in lags (exclude zero lag)
lagSize = 351; // number of lags
lagStep = 1.; // time interval between lags = 1 sec
lagOff = 1; // start from lag=1, exclude zero lag
lagMax = 300; // random lags : max lag = 300
the output lag list is :
lag ifoL1 ifoH1 ifoV1
1 158.00000 223.00000 0.00000
2 0.00000 195.00000 236.00000
3 28.00000 0.00000 179.00000
... ......... ....... '''''''''
350 283.00000 0.00000 142.00000
note : values ifoDX are in secs
3 detectors L1,H1,V1 : load 201 custom lags from file
lagSize = 201; // number of lags
lagOff = 0; // start from lag=1
lagMax = 300; // random lags : max lag = 300
lagFile = new char[1024];
strcpy(lagFile,"custom_lagss_list.txt"); // lag file list name
lagMode[0] = 'r'; // read mode
an example of input lag list is :
0 0 0 0
1 0 1 200
2 0 200 1
3 0 3 198
... ... ... ...
200 0 2 199
note : all values must be integers
lags must in the range [0:lagMax]
In the super-lags case, the pipeline consider data of each detectors belonging to different segments, so shifted of a time multiple of T. In this way we can increase easily the number of time lags because it allows to make shifts between data bigger than T (expecially when having two detectors). Once selected different segments the standard circular lags shifts are applied as the different segments would be the same one. The meaning of the parameter are similar to the one of lags case, but here the values are in segments and not in seconds as for the previous case.
cWB::Toolbox::getSlagList
Examples :
use standard segment
slagSize = 0; // Standard Segments : segments are not shifted, only lags are applied
// segments length is variable and it is selected in the range [segMSL:segLen]
3 detectors L1,H1,V1 : select 4 built-in slags
slagSize = 4; // number of super lags
slagMin = 0; // select the minimum available slag distance : slagMin must be <= slagMax
slagMax = 3; // select the maximum available slag distance
slagOff = 0; // start from the first slag in the list
the output slag list is :
SLAG ifo[0] ifo[1] ifo[2]
0 0 0 0
1 0 1 -1
2 0 -1 1
3 0 2 1
3 detectors L1,H1,V1 : load 4 custom slags from file
slagSize = 4; // number of super lags
slagOff = 0; // start from the first slag in the list
slagFile = new char[1024];
strcpy(slagFile,"custom_slags_list.txt"); // slag file list name
an example of input slag list is :
1 0 -4 4
2 0 4 -4
3 0 -8 8
4 0 8 -8
note : all values must be integers
Simulation parameters
int simulation = 0; // 1 for simulation, 0 for production
double iwindow = 5.; // analysis time window for injections (Range = Tinj +/- gap/2)
int nfactor=0; // number of strain factors
double factors[100]; // array of strain factors
char injectionList[1024]="";
- simulation
variable that sets the simulation stage: 1=simulation, 0=production If sets to 2 it sets injections at constant network SNR over the sky, instead of hrss.
- gap
time windows around the time injection that is analysed (+- gap).
- nfactor - factors
list of factors which differ according to the value of simulation.
amplitude factors to be multiplied ot the hrss written in the injectionList.
network SNR (waveform is rescaled according to these values).
time shift applied to the waveforms
progressive number referring to the multiple trials for injection volume distribution
- injectionList
path of file containing all the information about inections (waveform type, amplitude, source directions, detector arrival times, …)
Data manipulating
It is possible to apply constant shifts and/or uniform amplitude modifications on detectors data. Here are the parameters that allow to do these things:
Calibration
double dcCal[NIFO_MAX]; for(int i=0;i<NIFO_MAX;i++) dcCal[i] = 1.0;
Possibility to apply constant modifications on data amplitudes. Different factors can be applied to different detectors. The data are modified in this way: output = dcCal * input. This allows to threat eventual calibration corrections on the detectors.
Time shift
double dataShift[NIFO_MAX]; for(int i=0;i<NIFO_MAX;i++) dataShift[i] = 0.;
Possibility to apply constant time shifts to data. These shifts are made in seconds, and allows to make shifts of several days or years, see How to apply a time shift to the input MDC and noise frame files .
MDC time shift
// use this parameter to shift in time the injections (sec) // use {0,0,0} to set mdc_shift to 0 // if {-1,0,0} the shift is automatically selected // {startMDC, stopMDC, offset} // see description in the method cWB::Toolbox::getMDCShift mdcshift mdc_shift = {0, 0, 0};
Possibility to apply constant time shifts to injections (MDC). These shifts are made in seconds. This allows to increase statistics for efficiency curve running more simulation jobs, see How to apply a time shift to the input MDC and noise frame files .
Regulator
double delta = 1.0; // [0/1] -> [weak/soft]
double cfg_gamma = 0.5; // set params in net5, [0/1]->net5=[nIFO/0],
// if net5>[threshold=(nIFO-1)] weak/soft[according to delta] else hard
bool eDisbalance = true;
For the meaning of these parameter see the-cwb-2g-regulators
Sky settings
bool EFEC = true; // Earth Fixed / Selestial coordinates
size_t mode = 0; // sky search mode
double angle = 0.4; // angular resolution
double Theta1 = 0.; // start theta
double Theta2 = 180.; // end theta
double Phi1 = 0.; // start theta
double Phi2 = 360.; // end theta
double mask = 0.00; // sky mask fraction
char skyMaskFile[1024]="";
char skyMaskCCFile[1024]="";
size_t healpix= 0; // if not 0 use healpix sky map (SK: please check if duplicated)
int Psave = 0; // Skymap probability to be saved in the final output root file (saved if !=0 : see nSky)
long nSky = 0; // if nSky>0 -> # of skymap prob pixels dumped to ascii
// if nSky=0 -> (#pixels==1000 || cum prob > 0.99)
// if nSky<0 -> nSky=-XYZ... save all pixels with prob < 0.XYZ...
double precision = 0.001; // Error region: No = nIFO*(K+KZero)+precision*E
size_t upTDF=4; // upsample factor to obtain rate of TD filter : TDRate = (inRate>>levelR)*upTDF
- EFEC
Boolean selecting Earth coordinate (true) or Celestial coordinates (false)
- mode
If set to 0, the pipeline consider the total grid. If set to 1 the pipeline exclude from the grid the sky locations with network time delays equal to an already considered sky location. This parameter should not be changed.
- angle
Angular resolution for the sky grid, used for cWB grid.
- Theta1 and Theta2
Latitute boundaries.
- Phi1 and Phi2
Longitude boundaries.
- skyMaskFile and mask
- File giving a number to each sky locations. If the number is different from 0, the sky location is applied. This uses earth coordinates. Alternatively to the file name (generic skymask) it is possible to use the built-in skymask. The built-in skymask is a circle defined by its center in earth coordinates and its radius in degrees.The syntax is :
--theta THETA --phi PHI --radius RADIUS define a circle centered in (THETA,PHI) and radius=RADIUS THETA : [-90,90], PHI : [0,360], RADIUS : degrees
Example : sprintf(skyMaskFile,”–theta -20.417 –phi 210.783 –radius 10”);
- skyMaskCCFile
- File giving a number to each sky locations. If the number is different from 0, the sky location is applied. This uses celestial coordinates. Alternatively to the file name (generic skymask) it is possible to use the built-in skymask. The built-in skymask is a circle defined by its center in earth coordinates and its radius in degrees.The syntax is :
--theta DEC --phi RA --radius RADIUS define a circle centered in (DEC,RA) and radius=RADIUS DEC : [-90,90], RA : [0,360], RADIUS : degrees
Example : sprintf(skyMaskCCFile,”–theta -20.417 –phi 240 –radius 10”);To see how to define a skymask with a file see How to create a celestial skymask
- healpix
Healpix parameter, if equal to 0 the pipeline uses cWB grid, is > 0 the pipeline uses Healpix
- Psave
Skymap probability to be saved in the final output root file (saved if !=0 : see nSky)
- nSky
- this is the number of sky positions reported in the ascii file and (if Psave=true) in root.If nSky = 0, the number o sky positions reported is such as the cumulative probabiltiy in the sky reach 0.99%. If this number is greater than 1000, the list is truncated at 1000.if nSky>0 -> # of skymap prob pixels dumped to asciiif nSky=0 -> (#pixels==1000 || cum prob > 0.99)if nSky<0 -> nSky=-XYZ… save all pixels with prob < 0.XYZ…
- precision
- precision = GetPrecision(csize,order);set parameters for big clusters events managementcsize : cluster size thresholdorder : order of healpix resampled skymap (<healpix)default (0,0) = disabledif enabled the skyloop of the events with volume>=csize is downsampled to skymap(order)
- upTDF
upsample factor to obtain rate of TD filter : TDRate = (inRate>>levelR)*upTDF
CED parameters
There are three parameters regarding CED:
bool cedDump = false; // dump ced plots with rho>cedRHO
double cedRHO = 4.0;
- cedDump
boolean value, if true CED pages are produced, otherwise not
- cedRHO
CED pages are produced only for triggers which have rho > cedRHO
Output settings
There are different information and format styles that the pipeline can produce. Here are the parameters setting these.
unsigned int jobfOptions = cWB_JOBF_SAVE_DISABLE; // job file options
bool dumpHistory = true; // dump history into output root file
bool dump = true; // dump triggers into ascii file
bool savemode = true; // temporary save clusters on disc
jobfOptions
- dumpHistory
Save in the output file all the parameters and configuration files used
- dump
save the triggers information also in ASCII files in addition to ROOT files.
- savemode
temporary save information about cluster on the disk, to save memory.
Working directories
// read and dump data on local disk (nodedir)
char nodedir[1024] = "";
cout << "nodedir : " << nodedir << endl;
char work_dir[512];
sprintf(work_dir,"%s",gSystem->WorkingDirectory());
char config_dir[512] = "config";
char input_dir[512] = "input";
char output_dir[512] = "output";
char merge_dir[512] = "merge";
char condor_dir[512] = "condor";
char report_dir[512] = "report";
char macro_dir[512] = "macro";
char log_dir[512] = "log";
char data_dir[512] = "data";
char tmp_dir[512] = "tmp";
char ced_dir[512] = "report/ced";
char pp_dir[512] = "report/postprod";
char dump_dir[512] = "report/dump";
char www_dir[512];
Files list
These are informations about the list of frame files and data quality files.
Frame files:
// If all mdc channels are in a single frame file -> mdc must be declared in the nIFO position char frFiles[2*NIFO_MAX][256]; for(int i=0;i<2*NIFO_MAX;i++) strcpy(frFiles,""); // frame reading retry time (sec) : 0 -> disable // retry time = frRetryTime*(num of trials) : max trials = 3 int frRetryTime=60; char channelNamesRaw[NIFO_MAX][50]; char channelNamesMDC[NIFO_MAX][50];
If we have N detectors, the [0,N-1] positions refers to detectors data frame files. The [N-1, 2N-1] are for MDC frame filesfor Simulation stage. If the frame file is the same for all MDC, it is sufficient to write only the N position.The channel name of detector strain and MDC strain are respectively saved in channelNamesRaw and channelNamesMDC.Sometimes the frames are not temporarily available for reading, if the pipeline is not able to read a frame, it retries after some seconds (…). After a number of trials equal to frRetryTime, the pipeline exit with an error.Data quality
// {ifo, dqcat_file, dqcat[0/1/2], shift[sec], inverse[false/true], 4columns[true/false]} int nDQF = 0; dqfile DQF[20];
See data quality for details on how to write the data quality
Plugin
These are the parameters that regars Plugins
TMacro plugin; // Macro source
TMacro configPlugin; // Macro config
plugin.SetName("");
configPlugin.SetName("");
bool dataPlugin = false; // if dataPlugin=true disable read data from frames
bool mdcPlugin = false; // if mdcPlugin=true disable read mdc from frames
bool dcPlugin = false; // if dcPlugin=true disable the build data conditioning
plugin: insert the Plugin source code
configPlugin: insert the Plugin configuration source code
plugin.SetName(“”);: insert the compiled Plugin code
configplugin.SetName(“”);: insert the compiled Plugin configuration code
dataPlugin: disable the reading of detector strain
mdcPlugin: disable the reading of MDC strain
dcPlugin: disable the conditioning of data (conditioning)
user_pparameters.C
This is the complete file:
cwb_pparameters.C
We divide the file in different sections for simplicity:
(only for Background analysis) |
|
Frequency bands
The burst analysis is generally divided into 3 main frequency ranges,
[64; 200] Hz;
[200; 2048] Hz;
[1600; 5000] Hz.
#define PP_64_200_HZ //for [64; 200] Hz
#define PP_200_2048_HZ //for [200; 2048] Hz
#define PP_1600_5000_HZ //for [1600; 5000] Hz
Moreover, it is possible to discard small frequency bands (for example to cut a persistent line). At this purpose, there are the two arrays lowFCUT and highFCUT.
int nFCUT = 0; // number of frequency cuts
double lowFCUT[100]; // low frequency cut
double highFCUT[100]; // high frequency cut
Example This code:
nFCUT = 2;
lowFCUT[0]=150;
lowFCUT[0]=151;
highFCUT[1]=235;
highFCUT[1]=242;
discard event with central frequency inside the two frequency bands: [150,151] and [235,242].
Rho settings
For Background results, the rho threshold is never applied, because it is the principal variable for calculating False Alarm Rate. However, there are some variables that defines the output behaviour of the results:
#define nRHO 150 //defines the range of the RHO statistic to be used in plots
double pp_rho_max = 10.;
int pp_max_nloudest_list = 25; // maximum number of loudest event in the report list
float T_out = 3.5;
- nRHO and pp_rho_max define the rho ranges of rate vs rho figure and text files.
- Rho min is usually 2 for 1G and 4 for 2G.Rho step is usually 0.1 for 2G and 0.2 for 2G.Rho max = Rho min + Rho step * nRHO.The figure is zoomed at the value of pp_rho_max if it is less than Rho max.
pp_max_nloudest_list is the number of triggers reported at the bottom of web page.
T_out: Threshold on rho for the final trigger list
Labels
These are labels that appear in the web page:
#define RUN_LABEL ""
user_pp_label = "";
RUN_LABEL: Subtitle on the page
user_pp_label: postfix on the name of the directory containing the figures
obsolete:
pp_label = "";
char title[256]="";
char subtitle[256]="";
char RunLabel[256]="";
Thresholds
This is a collection of thresholds on the trigger parameters:
network correlation coefficienct: netCC[0] > T_cor
subnet: netCC[3] > T_scc
energy disbalance: netED[0] < t_vED
penalty: penalty > T_pen
Only for simulation phase:
Amplitude correlation coefficient: rho[pp_irho ] > T_cut
Injection selection: abs(time[0]-time[nIFO]) < T_win
// obsolete parameters
T_cut_veto = 6.9; // rho high frequency cut ...
T_CUT_veto = 6.9; // rho low frequency cut ....
T_acor = 0.0; // output threshold
T_hrss = 0.0; // penalty threshold
i_hrss1 = 0;
i_hrss2 = 1;
T_rms = 0.; // penalty threshold
ratio_hrss = 1; //CORRECTION FREQUENCY
pp_freq_offset = 0.; //CORRECTION FREQUENCY (SIM)
Data Quality and veto
It is possible to apply Data Quality and Veto to reconstructed triggers. This is done using the same syntax as user_parameters.C. The only difference that the user can decide which DQ/Veto to apply:
#define CAT2_VETO
#define HVETO_VETO
#define CAT3_VETO
#define PEM_VETO
// {ifo, dqcat_file, dqcat[0/1/2], shift[sec], inverse[false/true], 4columns[true/false]}
int nDQF = 0;
dqfile DQF[20];
Selecting one or more of the define above, it is possible to apply DQ/Veto, according to how the file is defined in the user_pparameters.C, i.e. the 4th column, for instance:
{"V1", "input/S6A_OFFLINE_V1_DQCAT2SEGMENTS.txt", CWB_CAT2, 0., true, false},
{"V1", "input/S6A_OFFLINE_V1_DQCAT3SEGMENTS.txt", CWB_CAT3, 0., false, false},
{"V1", "input/V1_KW_HVETO_S6A.txt", CWB_HVETO, 0., false, false},
Note: The application is different between CAT2 and the others. If a trigger is discarded by CAT2, it is deleted from the list, however, if the trigger is discarded by CAT3/HVETO/PEM, it is mantained in the list, just flagging it. See data quality for details on how to write the data quality
Benchmark parameters
There is the possibility to produce an integrated page with informations on finished/unfinished job and histograms of elapsed time and memoery usage of ech job, as produced by the command cwb_condor benchmark
pp_jet_benckmark = 0;
pp_mem_benckmark = 0;
- pp_jet_benchmark and pp_mem_benckmark are related to the x-axis of the two histograms.
- If set to 0, the integrated page is not produced.If set to a value greater than 0, this is used as maximum value for x-axis.If set to a value less than 0, the maximum value of x-axis is automatically set by the pipeline
Others
Some additional parameters :
hours: Bin size (in hours) for rate vs time plot
pp_eff_vs_thr: Used for ROC calculation
pp_show_eff_fit_curve: enable/disable draw efficiency fit curves
* true (default) : show fit curve, eff@hrss10/50/90 are derived from fit * false : show lines connecting points, eff@hrss10/50/90 are not showed
pp_sreport: array used to add auxiliary reports to the current report
* --link LINK : www link of the auxiliary report --link <tab> open a sub tab --link </tab> close sub tab * --label LABEL : report label - used in the html tabs * --high HIGH : report window height (optional : def=4000) * --name NAME : report html name (optional : def = "header.html, body.html")
pp_fad: enable/disable FAD report (default=”” -> disabled)
* --bkgrep : directory of the background report - used to lacate rate_threshold_veto.txt and live.txt * --hrss : - if it is a number then it is used as normalization constant for all MDC types (def=0) - if =0 then hrss rescale is not applied - if it is a file then it is the list of hrss used for each MDC type format : for each line -> hrss * --gfit : true/false (def=false) - enable/disable fit in the output plots * --rhomin : minimum rho value selected for plots (default = 5) * --nzbins : integer number [<0, 0, >0] - (def=0) - if nzbins=0 the standard FAD statistic is used - if nzbin>0 the FAD statistic is computed until there are nzbins consecutive bins with zero events inside - if nzbin<0 the FAD statistic is computed with classical FAD and min-hold (un-biased FAD) * --units : K/M (def=M) - K -> Kpc,Kyr : M -> Mpc,Myr * --distr : formula/mdc (def=MDC) - radial distribution is computed from formula or from mdc injections * --nbins : number of bins used in hist to computed the radial distribution from the mdc injections * --header : true/false (def=false) - if true -> add cwb header to fad html file * --multi : true/false (def=false) if true -> FAD multi plot for each mdc set are created and substituted in the sim report page to the eff_freq plots (def=false)
pp_eff_vs_thr = "--mode auto --rho_min 6.";
set the automatic selection of the factors (setting a minimum of 6 in rho).
pp_eff_vs_thr = "--mode eff_threshold_factors.txt";
set the amplitude factors defined in the eff_threshold_factors.txt file
Main Steps
Prepare a dir
Choose a name: (ex: WORK_LABEL)
Create dir
cwb_mkdir WORK_LABELPut the user_parameters.C file inside the config directory.
Put all the needed files in the input directory
If you need some Plugins, put it on the user_parameters.C file
Run the pipeline
run interactively a single job (JOBNUMBER):
cwb_inet JOBNUMBERrun more jobs submitting on a cluster (using condor as batch system):
cwb_condor create cwb_condor submit
Create figure of merits
Put the user_pparameters.C file inside the config directory.
Merge the files in output directory:
cwb_merge M1Apply Data quality and Veto (optional)
cwb_setveto M1Produce figure of merits and web pages
cwb_report M1 create
pre-production
Pre-production stage prepares the directory where all the scripts and files necessary to run the analysis are collected. First of all the directory name must be unambiguous. A possible criterion to set the name is to compose the following tags:
"DATA_TAKING_RUN"_"CALIBRATION_VERSION"_"ANALYSIS_TYPE"_"MDC_TAG"_"NETWORK"_"USER_TAG"_"ANALYSIS_RUN"
where :
DATA_TAKING_RUN : S4, S5, S6A, ...
CALIBRATION_VERSION : R2, R5, ...
ANALYSIS_TYPE : SIM (simulation), BKG (time shift analysis)
MDC_TAG : (only for simulations) BRST, SGQ9, NINJA2, ...
NETWORK : network ifo list - L1H1, L1H1V1, ...
USER_TAG : TEST, PHASE_MISCALIB, ...
ANALYSIS_RUN : run1, run10, ...
Example:
* timeshift analysis : S6A_R4_BKG_L1H1V1_PHASE_MISCALIB_run1
* simulation : S6A_R4_SIM_BRST_L1H1V1_PHASE_MISCALIB_run1
This name will be used for all the files produced automatically by the various Commands. The working environment is created by cwb_mkdir command, for instance:
cwb_mkdir WORK_LABEL
cwb configuration files |
|
input data files |
|
condor files (dag,sub) |
tmp: dir for temporary job files
log: condor log files
output: output job files
merge: merge of output job files
report: dir for data to be pubblished on web
ced: dir for web pages created by Coherent Event Display
dump: dir for information files
postprod: dir for web pages with figure of merits
macro: user macros
data: user output job files
The sub-directories input and config (eventually macro) are the one which (usually) contains the necessary information to run the analysis. The command cwb_clonedir allows to take an existing working dir and copy the primary information (input/config/macro directories) to repeat the same analysis of the original dir (or eventually make minor changes).
config
In the config dir there are two files:
- user_parameters.C.
parameter file for production stage
- user_pparameters.C.
parameter file for post-production stage
Note: the pipeline automatically searches these two files. If you are interested to use different files for the same purpose, use the command cwb_setpars and cwb_setppars.
input
This directory contains informations useful on the analysis, it can be used also to store particular interesting files not stricly used for the analysis. The standard files contained in this dir are reported in the following list.
Note: Despite of files contained in the config directory, it is not necessary to put inside the dir input all the following files. It is just a convention.
list of strain frame files
list of mdc frame files & injection list
data quality files
sky mask used to select sky positions to be analized
- An example of input directory is in the example:
strain frames
mdc frames
Moreover, together to the frame list, cWB needs also a Log file, which contains specific informations for each injected MDC (arrival timing at earth and each detector, source direction, hrss, antenna patterns, …). It is used by the pipeline to store informations related to the MDC in the final root file.
MDC frame and log files are produced with BurstMDC. O2 AllSky MDC files documentation produced with BurstMDC are liksted in the following link : https://wiki.ligo.org/Bursts/O2-Allsky
sky mask
The default analysis spans over all the sky to estimate candidate events. (For the grid resolution see Sky settings). It is possibile, however, to specify a resctricted region of the sky, for istance for extrig searches. This is done by defining a sky mask, which is simply a collection of 1/0 values for each sky position.
There are 2 type of skymask maps:
- earth coordinates
use parameter skyMaskFile
- celestial coordinates
use parameter skyMaskFileCC
Data Quality
Data qualities are a collection of time periods were the detectors are in good/bad conditions for scientific purpouses. According to LIGO-Virgo policy, there are different Data Quality definitions:
Science segments (Category 0): Detector locked (i.e. in data taking)
Category 1: Detector not running in proper configuration
Category 2: Well understood instrumental problems
Category 3: Incompletely understood issues, not sure that are affecting the data
Category 4: hardware injections
PEM : Physical Environment Monitoring
HVETO : most significant correlation between an auxiliary channel and DARM_ERR
For a more detailed description see: Data Quality @ GWOSC
The definition structure is the same in the two files:
ifo name of ifo as declared in the ifo parameter
dqcat_file path of data quality file
dqcat dq quality category [see below]
shift time shift applied to data quality (default = 0 sec)
inverse [false/true] if false then ranges declared in dqcat_file are the good periods (see below)
- 4columns [false/true] defines the format of the dqcat_file
false -> each column contains : start stop true -> each column contains : index start stop stop-start NOTE : only start,stop are used
dqcat used by cWB are:
CWB_CAT0 science mode segments
CWB_CAT1 DQ_CAT1/CAT4 periods
CWB_CAT2 DQ_CAT2
CWB_CAT3 DQ_CAT3
CWB_HVETO hveto
CWB_PEM pem vetoe
CWB_EXC taking in account times in two detectors network not included in three detector network
CWB_USER user define vetoes
- inverse is quite controversial, especially because the it has
different meaning in user_parameters.C and user_pparameters.C files:
- user_parameters.C
- false: the file containes period to be analyzedtrue: the file containes period to be discarded
- user_pparameters.C (CAT2)
- false: the files contains period to be acceptedtrue: the files contains period to be discarded
- user_pparameters.C (CAT3)
- false: the files contains period to be discardedtrue: the files contains period to be accepted
Examples:
Production Stage :
// dq file list
// {ifo, dqcat_file, dqcat[0/1/2], shift[sec], inverse[false/true], 4columns[true/false]}
nDQF=12;
// dqf is a temporary array
dqfile dqf[nDQF]={
{"L1" ,"input/S6A_OFFLINE_L1SCIENCE.txt", CWB_CAT0, 0., false, false},
{"L1" ,"input/S6A_OFFLINE_L1_DQCAT1SEGMENTS.txt", CWB_CAT1, 0., true, false},
{"L1" ,"input/S6A_OFFLINE_L1_DQCAT2SEGMENTS.txt", CWB_CAT2, 0., true, false},
{"L1" ,"input/S6A_OFFLINE_L1_DQCAT4SEGMENTS.txt", CWB_CAT1, 0., true, false},
{"H1" ,"input/S6A_OFFLINE_H1SCIENCE.txt", CWB_CAT0, 0., false, false},
{"H1" ,"input/S6A_OFFLINE_H1_DQCAT1SEGMENTS.txt", CWB_CAT1, 0., true, false},
{"H1" ,"input/S6A_OFFLINE_H1_DQCAT2SEGMENTS.txt", CWB_CAT2, 0., true, false},
{"H1" ,"input/S6A_OFFLINE_H1_DQCAT4SEGMENTS.txt", CWB_CAT1, 0., true, false},
{"V1" ,"input/S6A_OFFLINE_V1SCIENCE.txt", CWB_CAT0, 0., false, false},
{"V1" ,"input/S6A_OFFLINE_V1_DQCAT1SEGMENTS.txt", CWB_CAT1, 0., true, false},
{"V1" ,"input/S6A_OFFLINE_V1_DQCAT2SEGMENTS.txt", CWB_CAT2, 0., true, false},
{"V1" ,"input/S6A_OFFLINE_V1_DQCAT4SEGMENTS.txt", CWB_CAT1, 0., true, false}
};
// temporary arrary is copied to the final array DQF
for(int i=0;i<nDQF;i++) DQF[i]=dqf[i];
Post-Production Stage :
const int nvdqf=4;
dqfile vdqf[nvdqf] = {
{"V1", "input/V1_KW_HVETO_S6A.txt", CWB_HVETO, 0., false, false},
{"L1", "input/S6A_OFFLINE_L1_DQCAT3SEGMENTS.txt", CWB_CAT3, 0., false, false},
{"H1", "input/S6A_OFFLINE_H1_DQCAT3SEGMENTS.txt", CWB_CAT3, 0., false, false},
{"V1", "input/S6A_OFFLINE_V1_DQCAT3SEGMENTS.txt", CWB_CAT3, 0., false, false}
};
condor
The condor directory stores the files for the submission of jobs. After the command cwb_mkdir The command cwb_condor, associated to different instructions, is used to manage this procedure. In particular:
cwb_condor create
creates in the condor dir two files:
WORK_LABEL.dag
WORK_LABEL.sub
which contains the necessary information to submit via condor a job for each segment in the list. To submit jobs:
cwb_condor submit
or alternatively, enter in the dir condor and use the specific condor commands:
cd condor
condor_submit_dag WORK_LABEL.dag
production
Segment list is made on period surviving DQ_CAT0, DQ_CAT1 and DQ_CAT4 In these period the pipeline make data conditioning and whitening procedure.
Trigger extraction is made on period surviving DQ_CAT0, DQ_CAT1, DQ_CAT4 and DQ_CAT2
For each job, the pipeline produces a .root file which is stored in the output directory.
post-production
The post-production steps are the following:
Decide thresholds
Prepare the user_pparameters.C in the config directory with all the necessary information.
Merging
This process merges the results files contained in the output directory. Files produced in this stage are contained in the merge directory and are properly labeled to distinguish different merging process.
The following are typical merged files (in this case the label is M1):
- merge_WORK_LABEL.M1.lst
file listing all root files inside output directory used for merging
- wave_WORK_LABEL.M1.root
file containing triggers information
- live_WORK_LABEL.M1.root
file containing livetime informations referred to lags (only in production mode)
- mdc_WORK_LABEL.M1.lst
file containing MDC informations (only in simulation mode)
The command for merging is cwb_merge.
cwb_merge M1Apply data quality and veto (optional)
It is possible to apply one or more Data Quality/Veto files to the central times of triggers extracted in the production stage. If the trigger is accepted/discarded by Data Quality it is flagged 1/0.
See user_pparameters.C for the use and definition of Data Quality files.
The command for this step is cwb_setveto.
cwb_setveto M1(please note that all steps related to the same set of results must report the same label - M1 in this case)
after the application of this command we will have new .root file in the merge directory, with an additional string addressing the DQ/Veto used. A typical label could be:
M1.V1hveto_V1cat3
Web page production
Produces a web page containing figures of merit. Web pages are stored in report/postprod directory.The command is cwb_report followed by the proper label as for previous steps:
cwb_report M1 create
or
cwb_report M1.V1hveto_V1cat3 create
depending on the application or not of data quality.
Trigger parameters
List of triggers |
|
information on livetime in background analysis |
|
information on injected MDC in simulation analysis |
waveburst tree
A Bit of theory
We define the following quantities:
Scalar product ( , )
i: time-frequency pixel
x[i]: data vector
s[i]: reconstructed vector response
u[i]: unity vector along s[i]; u[i]=s[i]/|s[i]|
E: total cluster energy,
Em: sum of maximum energies in the detectors,
L: energy of reconstructed signal, L = sum_i{|s[i]|^2}
Lij: off-diagonal elements of energy of L matrix,
- Ec/ecor: coherent energy - sum of the off-diagonal terms Lij of L
This statistic is stored in the waveburst tree as ecor.
- ECOR: reduced correlate energy - sum of the Lij*rij
where : rij = Lij/(2*sqrt(Lii*Ljj))
N: null energy, N = E-L +2*m
ED - energy dis-balance,
K - number of detectors
n: multiresolution layer number
nevent |
progressive event number associated to the events reconstructed in the job segment |
ndim |
number of detectors in the network |
run |
job number |
rho |
|
netCC |
|
netED |
|
penalty |
penalty factor |
gnet |
network sensitivity |
anet |
network alignment factor |
inet |
network index |
likelihood |
network likelihood: L |
ecor |
sum of the off-diagonal term of likelihood matrix: D |
ECOR |
effective correlated energy |
factor |
amplitude factor of injected signal in Simulation stage (respect to the basis one) |
distance |
… |
mchirp |
|
norm |
|
usize |
cluster union size |
ifo |
array which list detectors in the network |
eventID |
event ID |
type |
Array: type[1] is an assigned number for the injected waveform in the Simulation stage. |
rate[0,ndim-1] |
|
volume[0/1/2] |
|
size[0/1] |
size[0]: number of time-frequency pixels componing the event used in the wavelet packet reconstruction with energy > Acore size[1]: number of pixels in size[0] which contribute to the wavelet packet reconstruction |
lag |
array of time shifts (s) applied to each detectors. |
slag |
array of segment shift applied to each detectors |
phi |
|
theta |
|
psi |
estimated polarization angle |
iota |
estimated inclination angle of the source |
bp[0,ndim-1] |
array of F_+ for each detector at estimated direction |
bp[dim,2*ndim-1] |
array of F_+ for each detector at injected direction (Simulation stage) |
bx[0,ndim-1] |
array of F_x for each detector at estimated direction |
bx[dim,2*ndim-1] |
array of F_x for each detector at injected direction (Simulation stage) |
Deff |
effective range for each detector |
mass |
injected mass values of a binary system. |
spin |
injected spin parameters of a binary system |
snr |
array of SNR^2 for each detector |
xSNR |
data-signal correlation (x[i],s[i]) for each detector |
sSNR |
array of energy of reconstructed responses |
null |
array of Null Energy for each detector |
strain |
array of reconstructed and injected strain. strain[0] is defined as: sqrt[sum_over_detector(hrss_rec*hrss_rec)] where the sum is made on the reconstructed hrss strain[1] is defined as: sqrt(hrss_inj_plus*hrss_inj_plus+hrss_inj_cross*hrss_inj_cross) |
hrss |
array of reconstructed hrss[n] for each detector n |
inj_hrss |
arry of injected hrss[n] for each detector n (Simulation stage) |
noise |
array of noise RMS for each detector |
segment |
start[n] and stop[n] of analyzed segment for each detector n |
start |
array of minimum times associated to the time-frequency map pixels for each detector |
time |
array of central times of the event for each detector |
stop |
array of maximum times associated to the time-frequency map pixels for each detector |
inj_time |
array of injected times of the events for each detector (Simulation stage) |
left |
array of differences between event start and segment start times for each detector |
right |
array of differences between segments stop and event stop times for each detector |
duration |
duration[0] : energy weghted duration estimated in time/freq domain for all resolutions duration[1] : difference between event stop and start |
frequency |
frequency[0] : central frequencies of the event computed from the reconstructed waveform frequency[1] : energy weghted central frequency estimated from in time/freq domain for all resolutions |
low |
low[0] : minimum frequency associated to the time-frequency map pixels |
high |
high[0] : maximum frequency associated to the time-frequency map pixels |
bandwidth |
bandwidth[0] = energy weghted bandwidth estimated in time/freq domain for all resolutions bandwidth[1] = difference between event high and low |
iSNR |
|
oSNR |
|
ioSNR |
|
netcc |
netcc[0]: network correlation coefficient |
neted |
neted[0]: network energy disbalance |
ndm |
network data matrix |
erA |
|
sky_res |
sky resolution between two near discrete positions |
map_lenght |
|
livetime tree
The tree livetime contains an event for each time shift performed.
run |
job number |
gps |
Gps at earth of the job segment |
live |
livetime: effective analyzed time after DQ_CAT2 |
lag |
|
slag |
Same as lag, but in this case it refers to job shifted, instead of time. |
start |
array of gps start time segment for each detector [s]. |
stop |
array of gps stop time segment for each detector [s]. |
mdc tree
ndim |
number of detectors |
run |
job number |
nevent |
progressive event number associated to the injections in a job segment |
eventID |
same as nevent |
type |
assigned number for the injected waveform in the Simulation stage. |
factor |
amplitude factor of injected signal (respect to the basis one) |
distance |
injected distance in Mpc (optional) |
mchirp |
injectied chirp mass; |
rp0 |
… |
e0 |
… |
gps |
Gps at earth of the mdc |
strain |
Injected strain. Strain is defined as: sqrt[sum(hrss*hrss)] where the sum is made on the detectors |
psi |
polarization angle |
iota |
inclination angle of the source |
phi |
MDC latitude (cWB coordinates) |
theta |
MDC longitude (cWB coordinates) |
bp |
array of F_+ for each detector at injected direction |
bx |
array of F_x for each detector at injected direction |
time |
array of central times of the event for each detector |
duration |
injected duration |
frequency |
injected central frequency |
bandwidth |
injected bandwidth |
hrss |
injected hrss |
Deff |
… |
mass |
mass values of a binary system. |
spin |
spin of the injected waveform |
Page showing results
To produce these pages it is necessary to have a user_pparameters.C in the input directory. In this file are specified the selection cuts needed to produce the results, and some other informations stored in the web page (like the run name)
Web pages can be divided in different sections:
(common) |
|
(common) |
|
(common) |
|
Title
This section shows:
Title: A title automatically created reporting:
Background/Simulation
Network
Frequency band
Subtitle: A sub-title chosen by the user (defind in user_pparameters.C)
- Job Status: It is not necessary to produce a page only if all jobs are finished, but you can produce also intermediate results.
This line shows the percentage of done jobs used to produce the page. (Automatic)It is of the form Ntot/(Nexp) - Percentage where:- Ntot: number of merged files;- Nexp: number of expected files.For Simulation stage, Nexp is written as: (NFactor*Njobs)
Run parameters
This section report some information about the analysis stage.
- Library information:
wat;
lal;
frameli;
root
- Some parameters from user_parameters.C file:
pipeline (1G/2G);
search type (cfg_search=i,r,s,g,…);
subnet/delta/cfg_gamma;
bpp;
netRHO;
netCC
Resampling rate before the wavelet decomposition
Analyzed frequency band
Sky map segmentation and angular sky resolution (degree)
Time-frequency resolution of the used wavelet decomposition levels
LVK clusters and working dir
cwb production parameters: standard file for production stage, it contains all the parameters needed from the analysis in a defined value.
user production parameters: file for production stage modified by the user. It is a selection of parameters from the previous file, overwritting the selected values with new ones.
user production plugin: (where used) the plugin script eventually used (see Plugins)
user production plugin config: (where used) the plugin configuration script eventually used (see Plugins)
Post-production selection cuts
An example:
network correlation coefficient: cc > 0.60
All the figures in the page show triggers after the application of these selection cuts. For background page the rho threshold is never applied, and the cc threshold is not applied for some plots.
After the selection cuts there are links to the post-production parameter files:
cwb post-production parameters: standard file for post-production stage, it contains all the parameters needed from the analysis in a defined value.
user post-production parameters: file for post-production stage modified by the user. It is a selection of parameters from the previous file, overwritting the selected values with new ones.
Simulation
Here there is an example of web page
A link reporting function parameters for each waveform (fit_par)
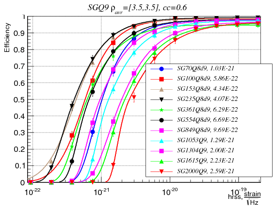
A figure reporting the efficiency value as a function of hrss for all waveforms. There is a legend reporting name waveform and relative x-value for which y-value is equal to 0.5 (hrss50%)
efficiency vs frequency: Figure reporting hrss10% (black), hrss50% (red), hrss90% (blue) for each waveform central frequency
Waveform information: For each waveform a row that reports:
Name
hss50% (calculated from the fit)
hrss90% (calculated from the fit)
Link to scatter plot of injected vs reconstructed hrss (one column for each detector) example
Link to histogram of the difference between reconstructed and injected time [s] example
Link to histogram of reconstructed frequency [Hz] example
Link to efficiency curve example
Link to efficiency curve text file (reporting x and y values) example
Background
Here there is an example of web page
Analysis live time for zero lag (no lags applied to detectors) and including the live time for each lag. There are three bullets:
- Live time of zero lag in [s] and [days]Example: Approximately 914992.00 sec = 10.59 days, zero lag
- Live time of all lags in [s], [days], [years] and number of lagsExample: 168331232.00 sec = 1948.28 days = 5.3 years, 199 non-zero lags
- Link of live time for each lagFor each detector reports also the time shift applied of the written lag
Detector statistic distribution
Some plots on the most interesting trigger parameters used for selection cuts: rho and netcc. There are the plots:
rho vs subnet: on y-axis the rho and on x-axis the subnet. This plots is made without considering the rho and cc selection cuts.
rho vs vED: on y-axis the rho and on x-axis the vED. This plots is made without considering the rho and cc selection cuts.
rho vs cc: on y-axis the rho and on x-axis the netcc. This plots is made without considering the rho and cc selection cuts.
rho distributions: Histograms of rho. In green without applying netcc cut, in red applying netcc, in black after post-production data quality veto (if applied).
rate vs rho: cumulative curve of rate vs rho. On y-axis the rate of event with rho > x-value. If post-production data quality are applied, in red the same curve considering only events surviving cat3.
rate vs rho, green: no multiplicity: cumulative curve of rate vs rho. On y-axis the rate of event with rho > x-value. Black is the same as previous curve. Green is the curve discarding events due to non indipendent lags.
Rates
Given a certain set of lags with live time T [s], the algorithm give a number N of trigger. Rate is defined as the fractio N/T [Hz]. There are four plots:
Detector fraction: this plot show what is the detector with biggest SNR for each trigger, as a function of time. It is composed of N histograms (N = detector number), each reports on y-axis the percentage of events which has the biggest SNR related to that detector. X-axis is time in day/month,
live vs lag: Live time [s] as a function of lags. For x-axis, same as before.
rate vs day: event rate [Hz] for each day [day/month]. In black is the total event number, in red after applying …, in green (if applied) after post-production data quality.
rate vs lag: events rate [Hz] as a function of the various lags used. The progressive number on x-axis refers to the identificative number in Live time section.
Poisson check:
Time and frequency dependence
Summary statistics
A link ((full list of events at rho > [ # ]) of trigger events sorted according to decreasing rho value, up to #, i.e. the T_out value from user_pparameters.C. Each row reports:
# -/+ - not passed/passed final selection cuts
# 1 - effective correlated amplitude rho
# 2 - correlation coefficient 0/1 (1G/2G)
# 3 - correlation coefficient 2
# 4 - correlation coefficient 3
# 5 - correlated amplitude
# 6 - time shift
# 7 - time super shift
# 8 - likelihood
# 9 - penalty factor
# 10 - energy disbalance
# 11 - central frequency
# 12 - low frequency
# 13 - high frequency
# 14 - duration
# 15 - number of pixels
# 16 - frequency resolution
# 17 - cwb run number
# 18 - time for H1 detector
# 19 - time for V1 detector
# 20 - SNR for L1 detector
# 21 - SNR for H1 detector
# 22 - SNR for V1 detector
# 23 - hrss for L1 detector
# 24 - hrss for H1 detector
# 25 - hrss for V1 detector
# 25 - PHI
# 26 - THETA
# 27 - PSI
Below are reported the first 25 triggers from the previous list. The first column reports a progressive number which links on a CED web page of the event.
FAD howto
This howto illustrates the procedure to make the FAD for a standard all-sky search.
NOTE : The current FAD implementation is a preliminary version.
Background
Background is produced following the standard procedure
The FAD uses the following files created by the background report command cwb_report:
Example :
pp_rho_min=5;
pp_rho_max=25;
Simulation
Burst : The Sky Distribution
CBC : LAL configuration - See the config plugins examples for LAL injections : The cWB-MDC engine
In general the simulation procedure is the standard one. The following procedure shows how to setup the simulation for a specific case : MDC=burst and simulation=4.
This example shows how the simulation parameters must be declared in the user_parameters.C file :
// simulation parameters
simulation = 4; // 1 for simulation, 0 for production
nfactor = 8; // number of strain factors
double FACTORS[] = {1,2,3,4,5,6,7,8}; // array of strain factors
for(int i=0;i<nfactor;i++) factors[i]=FACTORS[i];
CWB_Plugin_Sim4.C
while the definition of MDC set is made with a configuration plugin, for example :
CWB_Plugin_Sim4_BRST_Config.C
The plugin must be declared in the user_parameters.C in the following way (Plugins) :
plugin = TMacro("macro/CWB_Plugin_Sim4.C"); // Macro source
configPlugin = TMacro("macro/CWB_Plugin_Sim4_BRST_Config.C"); // Macro config
The configuration plugin must contains the following declarations :
- the MDC types to be generated.
- the list of HRSS50% used for the energy normalizationThe energies of each MDC type are normalized in such a way to produce approximately the same efficiency.The list of energy to be used for the normalization is defined with the vector mdcHRSSExample : standard BRST set
// -------------------------------------------------------- // define the MDC hrss // -------------------------------------------------------- int K=MDC.wfList.size(); std::vector<double> mdcHRSS(K); for(int i=0;i<K;i++) { if(TString(MDC.wfList[i].name)=="GA0d1") mdcHRSS[i]=1.787e-21; if(TString(MDC.wfList[i].name)=="GA1d0") mdcHRSS[i]=9.499e-22; ............. if(TString(MDC.wfList[i].name)=="WNB1000_1000_0d010") mdcHRSS[i]=4.187e-21; }
- the sky distribution :Example : distribution min distance : 0.2 Kpc, max distance : 40 Kpc, radial distribution : x+50./x
// -------------------------------------------------------- // define event sky distribution // -------------------------------------------------------- par.resize(3); par[0].name="entries";par[0].value=100000; // pool of events par[1].name="rho_min";par[1].value=.2; // min rho Kpc par[2].name="rho_max";par[2].value=40.; // max rho Kpc MDC.SetSkyDistribution(MDC_RANDOM,"x+50./x",par,seed);
FAD
Examples :
For a generic simulation :
pp_fad = " --bkgrep background-report-path";
pp_fad += " --distr mdc";
pp_fad += " --rhomin 6";
pp_fad += " --nbins 1000";
pp_fad += " --header true";
cwb_mkfad M1.C_cc2_gt_0d45 -1 unbiased_fad
For simulation=4 & bursts mdc :
pp_fad = " --bkgrep background-report-path";
pp_fad += " --hrss hrss-file-path";
pp_fad += " --distr formula";
pp_fad += " --rhomin 5";
pp_fad += " --header true";
cwb_mkfad M1.C_cc2_gt_0d45 0 classical_fad
Combining FAD
CombineSearchesWithFAD.C is used to combine the FAD.
In the macro source there is the description of input parameters.
This is an example which shows how to use the macro.
root '$HOME_CWB/tutorials/CombineSearchesWithFAD.C("FAD.lst",5,40,7.35,"BigDog","S6A_S6B_S6D.png")'
where :
- FAD.lst is the list of FAD create for each seaches with the cwb_mkfad command.
- 5 is the minimum rho
- 40 is the maximum rho
- 7.35 a vertical line id drawed a reference
- "BigDog" is the label for the reference line
- report/dump/S6ABD_FAP/S6A_LT_GE_S6B_LT_GE_S6D_LT_GE.png is the output joined FAP plot
The following is an example of FAD.lst
# S6A_INET_LT_0d5
M1.C_cc2_gt_0d45_inet_lt_0d5.R_ISRA_i0cc70_i1rho56_win01_freq64_2048/fad_run1a1b1c1d1e/FADvsRHO_ALL.txt \
M1.C_cc2_gt_0d45_inet_lt_0d5.R_ISRA_i0cc70_i1rho56_win01_freq64_2048/fad_run1a1b1c1d1e/PRODvsFAD_ALL.txt \
S6A_INET_LT_0d5 1 9
# S6A_INET_GE_0d5
M1.C_cc2_gt_0d45_inet_ge_0d5.R_ISRA_i0cc70_i1rho56_win01_freq64_2048/fad_run1a1b1c1d1e/FADvsRHO_ALL.txt \
M1.C_cc2_gt_0d45_inet_ge_0d5.R_ISRA_i0cc70_i1rho56_win01_freq64_2048/fad_run1a1b1c1d1e/PRODvsFAD_ALL.txt \
S6A_INET_GE_0d5 1 1
# S6B_INET_LT_0d5
M1.C_cc2_gt_0d45_inet_lt_0d5.R_ISRA_i0cc70_win01_freq64_2048/fad_run1a1b1c1d1e/FADvsRHO_ALL.txt \
M1.C_cc2_gt_0d45_inet_lt_0d5.R_ISRA_i0cc70_win01_freq64_2048/fad_run1a1b1c1d1e/PRODvsFAD_ALL.txt \
S6B_INET_LT_0d5 2 9
# S6B_INET_GE_0d5
M1.C_cc2_gt_0d45_inet_ge_0d5.R_ISRA_i0cc70_win01_freq64_2048/fad_run1a1b1c1d1e/FADvsRHO_ALL.txt \
M1.C_cc2_gt_0d45_inet_ge_0d5.R_ISRA_i0cc70_win01_freq64_2048/fad_run1a1b1c1d1e/PRODvsFAD_ALL.txt \
S6B_INET_GE_0d5 2 1
# S6D_INET_LT_0d5
M1.C_cc2_gt_0d45_inet_lt_0d5.R_ISRA_i0cc70_win01_freq64_2048/fad_run1a1b1c1d1e/FADvsRHO_ALL.txt \
M1.C_cc2_gt_0d45_inet_lt_0d5.R_ISRA_i0cc70_win01_freq64_2048/fad_run1a1b1c1d1e/PRODvsFAD_ALL.txt \
S6D_INET_LT_0d5 600 9
# S6D_INET_GE_0d5
M1.C_cc2_gt_0d45_inet_ge_0d5.R_ISRA_i0cc70_win01_freq64_2048/fad_run1a1b1c1d1e/FADvsRHO_ALL.txt \
M1.C_cc2_gt_0d45_inet_ge_0d5.R_ISRA_i0cc70_win01_freq64_2048/fad_run1a1b1c1d1e/PRODvsFAD_ALL.txt \
S6D_INET_GE_0d5 600 1
Background Example

PRE-PRODUCTION : Setup analysis
Check environment
root -b -l
Create the Working Dir
Choose a name for your working dir and create it, for this case we choose: O3_K99_C01_LH_BKG_2G_sthr
cwb_mkdir O3_K99_C01_LH_BKG_2G_sthr
config cwb configuration files
input input data files (frame and veto list files)
macro user macros & plugins
condor condor files (dag, sub)
log condor log files
output output job files
tmp dir for temporary job files
data user output job files
merge merge of output job files
report dir for data to be pubblished on web
Prepare needed files
For this analysis we need:
List of data frame files (mandatory)
Data Quality (not mandatory, but we know there are)
Production configuration file
cd O3_K99_C01_LH_BKG_2G_sthr
cp /home/sophie.bini/TUTORIAL/O3_K99_C01_LH_BKG_2G_sthr/input/* input/.
The primary parameters are:
Network: H1L1
Job segment lenght (600 seconds)
Number of lags (590 with 1 second step)
Number of slags (5)
List of frame files and channel names
data quality files
cd O3_K99_C01_LH_BKG_2G_sthr
cp /home/sophie.bini/TUTORIAL/O3_K99_C01_LH_BKG_2G_sthr/config/* config/.
Define and Compile Plugin
cwb_mplugin macro/CWB_Plugin_O3aConditioning_Gating_QLveto.C $HOME_CWB/plugins/CWB_Plugin_O3aConditioning.C $HOME_CWB/plugins/CWB_Plugin_Gating.C $HOME_CWB/plugins/CWB_Plugin_QLveto.C
cwb_compile macro/CWB_Plugin_O3aConditioning_Gating_QLveto.C
Some checks
In principle we are ready to start the analysis. We can perform some checks to see if the setting are right using the cwb_dump commands. For instance we can be interested in the list of available segments than can be analyzed:
cwb_dump sjob
Or we can want the lag list:
cwb_dump lag
or the coincidence times between the 2 detectors after cat1 and cat2
cwb_dump dq
The last final check can be to run in interactive mode the analysis on a job (the first, for instance) using cwb_inet command. If the job goes to end, the configuration is right. NOTE: This could take some time…
cwb_inet 4 0
wave_1262307600_1200_O3_K99_C01_LH_BKG_2G_sthr_slag0_lag0_1499_job4.root
PRODUCTION - Run the analysis
Create Condor jobs
Once ready, we can submit using cwb_condor command. First create the condor files:
cwb_condor create
O3_K99_C01_LH_BKG_2G_sthr.dag condor job list
O3_K99_C01_LH_BKG_2G_sthr.sub condor definitions
cwb.sh shell script used by condor to make analysis
ced.sh shell script used by condor to produce ced of loudest events
and then we can submit job on cluster
Submit Condor jobs
cwb_condor submit
condor_q user_name -nobatch
to remove a job :
condor_rm job_id
POST-PRODUCTION : Collection of results
Merging files
The final goal is to produce a web page showing some figure of merits. For this, it is useful to merge all the ROOT files in output directory in a single file, using cwb_merge command:
cwb_merge M1 '--nthreads 8'
merge_O3_K99_C01_LH_BKG_2G_sthr.M1.lst the list of merged files
wave_O3_K99_C01_LH_BKG_2G_sthr.M1.root collection of trigger parameters
live_O3_K99_C01_LH_BKG_2G_sthr.M1.root (only for background) collection of job informations (livetime, lags, ...)
Apply vetoes
Note that we have selected the possibility to apply data quality and/or veto to produced triggers:
#define HVETO_VETO
and the corresponding DQ/veto files in config(user_parameters.C
cwb_setveto M1
cwb_user_parameters.C
wave_O3_K99_C01_LH_BKG_2G_sthr.M1.root
live_O3_K99_C01_LH_BKG_2G_sthr.M1.root
merge_O3_K99_C01_LH_BKG_2G_sthr.M1.lst
wave_O3_K99_C01_LH_BKG_2G_sthr.M1.V_hvetoLH.root
live_O3_K99_C01_LH_BKG_2G_sthr.M1_V_hvetoLH.root
Apply cuts - updated by XGBoost post-processing
cwb_merge list
output:
--------------------
List of merge labels
--------------------
- M1
- M1.V_hvetoLH
Chosing the second one:
cwb_setcuts M1.V_hvetoLH "--tcuts bin1_cut --label bin1_cut"
Apply XGBoost model
cwb_setcuts M1.V_hvetoLH '--wcuts (!veto_hveto_H1&&!veto_hveto_L1) --label xgb_cut'
cwb_xgboost datasplit '--mlabel M1.V_hvetoLH.C_xgb_cut --ifrac 0.25 --verbose true'
cwb_xgboost M1.V_hvetoLH.C_xgb_cut.X_Test_F25 '--model /home/sophie.bini/project/flyby_search/test_GA/O3_K99_C01_LH_OPBM_XGB_sthr_ae_test_fb/xgb/tst10_v11/xgb_model_STD_LF_tst10_v11.json --ulabel tst10_v11f --rthr 0 --search blf --fgetrhor /home/gabriele.vedovato/O3/SEARCHES/OFFLINE/O4PipelineBenchmark/SEARCHES/LH/XGB/O3_K99_C01_LH_OPBM_XGB_tst10/config/user_getrhor_tst10_v11f.py --config /home/gabriele.vedovato/O3/SEARCHES/OFFLINE/O4PipelineBenchmark/SEARCHES/LH/XGB/O3_K99_C01_LH_OPBM_XGB_tst10/config/user_xgboost_config_tst10_v11.py --dfar true'
Web page production
cwb_merge list
output:
--------------------
List of merge labels
--------------------
- M1
- M1.V_hvetoLH
- M1.V_hvetoLH.C_bin1_cut
- M1.V_hvetoLH.C_xgb_cut.X_Test_F25.XGB_rthr0_tst10_v11f
Chosing the third one and fourth one :
! pp_irho = 0; in the config/user_pparameter.C !!
cwb_report M1.V_hvetoLH.C_bin1_cut create
And for the XGBoost post processing:
! pp_irho = 1; in the config/user_pparameter.C !!
cwb_report M1.V_hvetoLH.C_xgb_cut.X_Test_F25.XGB_rthr0_tst10_v11f create
This command create non-zero lag background report.
If you want to create the zero-lag report do :
cwb_report M1.V_hvetoLH.C_bin1_cut create 0 0
If you want to create a specific lag_number slag_number report do :
cwb_report M1.V__hvetoLH.C_bin1_cut create lag_number slag_number
The web page
The script produces two more files under the condor directory :
condor/O3_K99_C01_LH_BKG_2G_sthr.M1.V_hvetoLH.C_xgb_cut.X_Test_F25.XGB_rthr0_tst10_v11.R_rMRA_hveto_i0cc00_i1rho0_freq16_1280.ced.dag
condor/O3_K99_C01_LH_BKG_2G_sthr.M1.V_hvetoLH.C_xgb_cut.X_Test_F25.XGB_rthr0_tst10_v11f.R_rMRA_hveto_i0cc00_i1rho0_freq16_1280.ced.sub
These are condor files necessary to produced the CED of the background loudest events (see the list on the bottom of web report page).
To start the CED production do :
cwb_condor submit condor/O3_K99_C01_LH_BKG_2G_sthr.M1.V_hvetoLH.C_xgb_cut.X_Test_F25.XGB_rthr0_tst10_v11f.R_rMRA_hveto_i0cc00_i1rho0_freq16_1280.ced.dag
How to make a CED of a detected event
cedDump = true; // dump ced enabled
cedRHO = 4.0; // dump ced plots with rho>cedRHO
To produce CED in interactive mode the command cwb_inet must be used :
cwb_inet job_number gps_time_of_the_first_detector true 0 lag_number
cwb_inet 2 0 ced 0 33
mv data/ced_1262304010_1190_O3_K99_C01_LH_BKG_2G_sthr_slag0_lag33_1_job2 report/ced/
- and can be view with a web browser at the following link :
APPENDIX : Output on shell / Web pages
We report here the output on shell for each command described in this section (from previous tutorial version) (see README):
root logon: Show/Hide Code
[CIT:waveburst@ldas-pcdev5 ]$ root
*** DISPLAY not set, setting it to 151.95.123.14:0.0
OS : Linux
ROOT/WAT/CWB initialization starting...
Set Include Paths...
Load Libraries...
Loading LAL Suite : /home/waveburst/SOFT//LAL/lalsuite_lal-master230218 ...
Loading cvode : /home/waveburst/SOFT//CVODE/cvode-2.7.0/dist ...
Loading cfitsio : /home/waveburst/SOFT//CFITSIO/cfitsio-3.45 ...
Loading HEALPix : /home/waveburst/SOFT//HEALPix/Healpix_3.40 ...
Loading WAT : /home/waveburst/git/cWB/library/tools/install/lib/wavelet.so ...
Loading Frame : /home/waveburst/SOFT//FRAMELIB/libframe-8.30_root-6.14.00_icc ...
Loading eBBH : /home/waveburst/git/cWB/library/tools/install/lib/eBBH.so ...
Loading STFT : /home/waveburst/git/cWB/library/tools/install/lib/STFT.so ...
Loading gwat : /home/waveburst/git/cWB/library/tools/install/lib/gwat.so ...
Loading Toolbox : /home/waveburst/git/cWB/library/tools/install/lib/Toolbox.so ...
Loading History : /home/waveburst/git/cWB/library/tools/install/lib/History.so ...
Loading Bicoherence : /home/waveburst/git/cWB/library/tools/install/lib/Bicoherence.so ...
Loading Filter : /home/waveburst/git/cWB/library/tools/install/lib/Filter.so ...
Loading CWB FRAME : /home/waveburst/git/cWB/library/tools/install/lib/frame.so ...
Loading cwb : /home/waveburst/git/cWB/library/tools/install/lib/cwb.so ...
Loading wavegraph : /home/waveburst/git/cWB/library/tools/install/lib/wavegraph.so ...
cWB library path : /home/waveburst/git/cWB/library
cWB config path : /home/waveburst/CONFIGS/cWB-config-master.2.8
****************************************************************************
* *
* W E L C O M E to C W B *
* *
* WAT Version 6.2.6.0 (XIFO=4) *
* Branch master/ *
* Hash 4fbcbfa076e28b708291a754cbbe7981f2ef2210 *
* Short Hash 4fbcbfa0 *
* *
* LAL Version 6.18.0.1 *
* FRLIB Version 8.30 *
* *
* Based on ROOT 6.14/00 *
* *
* ROOT6 ENABLED *
* CP11 ENABLED *
* ICC ENABLED *
* *
* CONFIG Tag master.2.8 *
* Hash f774dfad6c5704c7dd4856c87a00e774284c643a *
* *
****************************************************************************
Date: Thu Jul 26 19:11:41 2018 +0200
Compiled on Linux x86_64 ldas-pcdev5
Sat Jul 28 19:57:45 UTC 2018
cwb [0]
cwb_clonedir: Show/Hide Code
[CIT:waveburst@ldas-pcdev5 BKG]$ cwb_clonedir O2_BKG_L1H1_LF_WP10_tutorial_run1 O2_BKG_L1H1_LF_WP10_tutorial_root6_run1 '--output links --jstage LIKELIHOOD'
Warning in <TApplication::GetOptions>: macro ./config/user_parameters.C not found
root [0]
Processing /home/waveburst/git/cWB/library/tools/cwb/macros/cwb_rootlogon.C...
OS : Linux
ROOT/WAT/CWB initialization starting...
Set Include Paths...
Load Libraries...
Warning in <TUnixSystem::SetDisplay>: DISPLAY not set, setting it to 151.95.123.14:0.0
Loading LAL Suite : /home/waveburst/SOFT//LAL/lalsuite_lal-master230218 ...
Loading cvode : /home/waveburst/SOFT//CVODE/cvode-2.7.0/dist ...
Loading cfitsio : /home/waveburst/SOFT//CFITSIO/cfitsio-3.45 ...
Loading HEALPix : /home/waveburst/SOFT//HEALPix/Healpix_3.40 ...
Loading WAT : /home/waveburst/git/cWB/library/tools/install/lib/wavelet.so ...
Loading Frame : /home/waveburst/SOFT//FRAMELIB/libframe-8.30_root-6.14.00_icc ...
Loading eBBH : /home/waveburst/git/cWB/library/tools/install/lib/eBBH.so ...
Loading STFT : /home/waveburst/git/cWB/library/tools/install/lib/STFT.so ...
Loading gwat : /home/waveburst/git/cWB/library/tools/install/lib/gwat.so ...
Loading Toolbox : /home/waveburst/git/cWB/library/tools/install/lib/Toolbox.so ...
Loading History : /home/waveburst/git/cWB/library/tools/install/lib/History.so ...
Loading Bicoherence : /home/waveburst/git/cWB/library/tools/install/lib/Bicoherence.so ...
Loading Filter : /home/waveburst/git/cWB/library/tools/install/lib/Filter.so ...
Loading CWB FRAME : /home/waveburst/git/cWB/library/tools/install/lib/frame.so ...
Loading cwb : /home/waveburst/git/cWB/library/tools/install/lib/cwb.so ...
Loading wavegraph : /home/waveburst/git/cWB/library/tools/install/lib/wavegraph.so ...
cWB library path : /home/waveburst/git/cWB/library
cWB config path : /home/waveburst/CONFIGS/cWB-config-master.2.8
****************************************************************************
* *
* W E L C O M E to C W B *
* *
* WAT Version 6.2.6.0 (XIFO=4) *
* Branch master/ *
* Hash 4fbcbfa076e28b708291a754cbbe7981f2ef2210 *
* Short Hash 4fbcbfa0 *
* *
* LAL Version 6.18.0.1 *
* FRLIB Version 8.30 *
* *
* Based on ROOT 6.14/00 *
* *
* ROOT6 ENABLED *
* CP11 ENABLED *
* ICC ENABLED *
* *
* CONFIG Tag master.2.8 *
* Hash f774dfad6c5704c7dd4856c87a00e774284c643a *
* *
****************************************************************************
Date: Thu Jul 26 19:11:41 2018 +0200
Compiled on Linux x86_64 ldas-pcdev5
Sat Jul 28 19:57:45 UTC 2018
Processing /home/waveburst/git/cWB/library/tools/cwb/macros/cwb2G_parameters.C...
www_dir : /home/waveburst/public_html/reports
data_label : BKG
condor_log : /usr1/waveburst
nodename : ldas-pcdev5
nodedir : /local/waveburst
Processing /home/waveburst/git/cWB/library/tools/cwb/macros/cwb_eparameters.C...
Processing /home/waveburst/git/cWB/library/tools/cwb/macros/cwb_clonedir.C...
O2_BKG_L1H1_LF_WP10_tutorial_run1 O2_BKG_L1H1_LF_WP10_tutorial_root6_run1
root [0]
Processing /home/waveburst/git/cWB/library/tools/cwb/macros/cwb_rootlogon.C...
OS : Linux
ROOT/WAT/CWB initialization starting...
Set Include Paths...
Load Libraries...
Warning in <TUnixSystem::SetDisplay>: DISPLAY not set, setting it to 151.95.123.14:0.0
Loading LAL Suite : /home/waveburst/SOFT//LAL/lalsuite_lal-master230218 ...
Loading cvode : /home/waveburst/SOFT//CVODE/cvode-2.7.0/dist ...
Loading cfitsio : /home/waveburst/SOFT//CFITSIO/cfitsio-3.45 ...
Loading HEALPix : /home/waveburst/SOFT//HEALPix/Healpix_3.40 ...
Loading WAT : /home/waveburst/git/cWB/library/tools/install/lib/wavelet.so ...
Loading Frame : /home/waveburst/SOFT//FRAMELIB/libframe-8.30_root-6.14.00_icc ...
Loading eBBH : /home/waveburst/git/cWB/library/tools/install/lib/eBBH.so ...
Loading STFT : /home/waveburst/git/cWB/library/tools/install/lib/STFT.so ...
Loading gwat : /home/waveburst/git/cWB/library/tools/install/lib/gwat.so ...
Loading Toolbox : /home/waveburst/git/cWB/library/tools/install/lib/Toolbox.so ...
Loading History : /home/waveburst/git/cWB/library/tools/install/lib/History.so ...
Loading Bicoherence : /home/waveburst/git/cWB/library/tools/install/lib/Bicoherence.so ...
Loading Filter : /home/waveburst/git/cWB/library/tools/install/lib/Filter.so ...
Loading CWB FRAME : /home/waveburst/git/cWB/library/tools/install/lib/frame.so ...
Loading cwb : /home/waveburst/git/cWB/library/tools/install/lib/cwb.so ...
Loading wavegraph : /home/waveburst/git/cWB/library/tools/install/lib/wavegraph.so ...
cWB library path : /home/waveburst/git/cWB/library
cWB config path : /home/waveburst/CONFIGS/cWB-config-master.2.8
****************************************************************************
* *
* W E L C O M E to C W B *
* *
* WAT Version 6.2.6.0 (XIFO=4) *
* Branch master/ *
* Hash 4fbcbfa076e28b708291a754cbbe7981f2ef2210 *
* Short Hash 4fbcbfa0 *
* *
* LAL Version 6.18.0.1 *
* FRLIB Version 8.30 *
* *
* Based on ROOT 6.14/00 *
* *
* ROOT6 ENABLED *
* CP11 ENABLED *
* ICC ENABLED *
* *
* CONFIG Tag master.2.8 *
* Hash f774dfad6c5704c7dd4856c87a00e774284c643a *
* *
****************************************************************************
Date: Thu Jul 26 19:11:41 2018 +0200
Compiled on Linux x86_64 ldas-pcdev5
Sat Jul 28 19:57:45 UTC 2018
Processing /home/waveburst/git/cWB/library/tools/cwb/macros/FixUserParametersROOT6.C("O2_BKG_L1H1_LF_WP10_tutorial_root6_run1/config/user_parameters.C","p")...
root [0]
Processing /home/waveburst/git/cWB/library/tools/cwb/macros/cwb_rootlogon.C...
OS : Linux
ROOT/WAT/CWB initialization starting...
Set Include Paths...
Load Libraries...
Warning in <TUnixSystem::SetDisplay>: DISPLAY not set, setting it to 151.95.123.14:0.0
Loading LAL Suite : /home/waveburst/SOFT//LAL/lalsuite_lal-master230218 ...
Loading cvode : /home/waveburst/SOFT//CVODE/cvode-2.7.0/dist ...
Loading cfitsio : /home/waveburst/SOFT//CFITSIO/cfitsio-3.45 ...
Loading HEALPix : /home/waveburst/SOFT//HEALPix/Healpix_3.40 ...
Loading WAT : /home/waveburst/git/cWB/library/tools/install/lib/wavelet.so ...
Loading Frame : /home/waveburst/SOFT//FRAMELIB/libframe-8.30_root-6.14.00_icc ...
Loading eBBH : /home/waveburst/git/cWB/library/tools/install/lib/eBBH.so ...
Loading STFT : /home/waveburst/git/cWB/library/tools/install/lib/STFT.so ...
Loading gwat : /home/waveburst/git/cWB/library/tools/install/lib/gwat.so ...
Loading Toolbox : /home/waveburst/git/cWB/library/tools/install/lib/Toolbox.so ...
Loading History : /home/waveburst/git/cWB/library/tools/install/lib/History.so ...
Loading Bicoherence : /home/waveburst/git/cWB/library/tools/install/lib/Bicoherence.so ...
Loading Filter : /home/waveburst/git/cWB/library/tools/install/lib/Filter.so ...
Loading CWB FRAME : /home/waveburst/git/cWB/library/tools/install/lib/frame.so ...
Loading cwb : /home/waveburst/git/cWB/library/tools/install/lib/cwb.so ...
Loading wavegraph : /home/waveburst/git/cWB/library/tools/install/lib/wavegraph.so ...
cWB library path : /home/waveburst/git/cWB/library
cWB config path : /home/waveburst/CONFIGS/cWB-config-master.2.8
****************************************************************************
* *
* W E L C O M E to C W B *
* *
* WAT Version 6.2.6.0 (XIFO=4) *
* Branch master/ *
* Hash 4fbcbfa076e28b708291a754cbbe7981f2ef2210 *
* Short Hash 4fbcbfa0 *
* *
* LAL Version 6.18.0.1 *
* FRLIB Version 8.30 *
* *
* Based on ROOT 6.14/00 *
* *
* ROOT6 ENABLED *
* CP11 ENABLED *
* ICC ENABLED *
* *
* CONFIG Tag master.2.8 *
* Hash f774dfad6c5704c7dd4856c87a00e774284c643a *
* *
****************************************************************************
Date: Thu Jul 26 19:11:41 2018 +0200
Compiled on Linux x86_64 ldas-pcdev5
Sat Jul 28 19:57:45 UTC 2018
Processing /home/waveburst/git/cWB/library/tools/cwb/macros/FixUserParametersROOT6.C("O2_BKG_L1H1_LF_WP10_tutorial_root6_run1/config/user_pparameters.C","pp")...
root [0]
Processing /home/waveburst/git/cWB/library/tools/cwb/macros/cwb_rootlogon.C...
OS : Linux
ROOT/WAT/CWB initialization starting...
Set Include Paths...
Load Libraries...
Warning in <TUnixSystem::SetDisplay>: DISPLAY not set, setting it to 151.95.123.14:0.0
Loading LAL Suite : /home/waveburst/SOFT//LAL/lalsuite_lal-master230218 ...
Loading cvode : /home/waveburst/SOFT//CVODE/cvode-2.7.0/dist ...
Loading cfitsio : /home/waveburst/SOFT//CFITSIO/cfitsio-3.45 ...
Loading HEALPix : /home/waveburst/SOFT//HEALPix/Healpix_3.40 ...
Loading WAT : /home/waveburst/git/cWB/library/tools/install/lib/wavelet.so ...
Loading Frame : /home/waveburst/SOFT//FRAMELIB/libframe-8.30_root-6.14.00_icc ...
Loading eBBH : /home/waveburst/git/cWB/library/tools/install/lib/eBBH.so ...
Loading STFT : /home/waveburst/git/cWB/library/tools/install/lib/STFT.so ...
Loading gwat : /home/waveburst/git/cWB/library/tools/install/lib/gwat.so ...
Loading Toolbox : /home/waveburst/git/cWB/library/tools/install/lib/Toolbox.so ...
Loading History : /home/waveburst/git/cWB/library/tools/install/lib/History.so ...
Loading Bicoherence : /home/waveburst/git/cWB/library/tools/install/lib/Bicoherence.so ...
Loading Filter : /home/waveburst/git/cWB/library/tools/install/lib/Filter.so ...
Loading CWB FRAME : /home/waveburst/git/cWB/library/tools/install/lib/frame.so ...
Loading cwb : /home/waveburst/git/cWB/library/tools/install/lib/cwb.so ...
Loading wavegraph : /home/waveburst/git/cWB/library/tools/install/lib/wavegraph.so ...
cWB library path : /home/waveburst/git/cWB/library
cWB config path : /home/waveburst/CONFIGS/cWB-config-master.2.8
****************************************************************************
* *
* W E L C O M E to C W B *
* *
* WAT Version 6.2.6.0 (XIFO=4) *
* Branch master/ *
* Hash 4fbcbfa076e28b708291a754cbbe7981f2ef2210 *
* Short Hash 4fbcbfa0 *
* *
* LAL Version 6.18.0.1 *
* FRLIB Version 8.30 *
* *
* Based on ROOT 6.14/00 *
* *
* ROOT6 ENABLED *
* CP11 ENABLED *
* ICC ENABLED *
* *
* CONFIG Tag master.2.8 *
* Hash f774dfad6c5704c7dd4856c87a00e774284c643a *
* *
****************************************************************************
Date: Thu Jul 26 19:11:41 2018 +0200
Compiled on Linux x86_64 ldas-pcdev5
Sat Jul 28 19:57:45 UTC 2018
Processing /home/waveburst/git/cWB/library/tools/cwb/macros/cwb2G_parameters.C...
www_dir : /home/waveburst/public_html/reports
data_label : O2_BKG_L1H1_LF_WP10_tutorial_root6_run1
condor_log : /usr1/waveburst
nodename : ldas-pcdev5
nodedir : /local/waveburst
Processing ./config/user_parameters.C...
Processing /home/waveburst/git/cWB/library/tools/cwb/macros/cwb_eparameters.C...
Processing /home/waveburst/git/cWB/library/tools/cwb/macros/cwb_mkdir.C...
File/Dir /home/waveburst/public_html/reports/O2_BKG_L1H1_LF_WP10_tutorial_root6_run1 already exist
www report directory must be unique !!!
Do you want to overwrite it ? (y/n) y
mkdir -p tmp
mkdir -p data
dir "config" already exist
Do you want to remove the files ? (y/n)
mkdir -p config
dir "input" already exist
Do you want to remove the files ? (y/n)
mkdir -p input
mkdir -p output
dir "macro" already exist
Do you want to remove the files ? (y/n)
mkdir -p macro
mkdir -p report
dir "/usr1/waveburst" already exist
Do you want to remove the files ? (y/n)
mkdir -p /usr1/waveburst
mkdir -p log
mkdir -p condor
mkdir -p merge
mkdir -p report/ced
mkdir -p report/postprod
mkdir -p report/dump
dir "/home/waveburst/public_html/reports/O2_BKG_L1H1_LF_WP10_tutorial_root6_run1" already exist
Do you want to remove the files ? (y/n)
mkdir -p /home/waveburst/public_html/reports/O2_BKG_L1H1_LF_WP10_tutorial_root6_run1
ln -sf /home/waveburst/git/cWB/library/tools/cwb/scripts/cwb_loudest.sh condor/loudest.sh
ln -sf /home/waveburst/git/cWB/library/tools/cwb/scripts/cwb_ced.sh condor/ced.sh
ln -sf /home/waveburst/git/cWB/library/tools/cwb/scripts/cwb_net.sh condor/cwb.sh
ln -sf /home/waveburst/TUTORIALS/O2/BKG/O2_BKG_L1H1_LF_WP10_tutorial_root6_run1//report/postprod /home/waveburst/public_html/reports/O2_BKG_L1H1_LF_WP10_tutorial_root6_run1
ln -sf /home/waveburst/TUTORIALS/O2/BKG/O2_BKG_L1H1_LF_WP10_tutorial_root6_run1//report/ced /home/waveburst/public_html/reports/O2_BKG_L1H1_LF_WP10_tutorial_root6_run1
ln -sf /home/waveburst/TUTORIALS/O2/BKG/O2_BKG_L1H1_LF_WP10_tutorial_root6_run1//report/dump /home/waveburst/public_html/reports/O2_BKG_L1H1_LF_WP10_tutorial_root6_run1
root [0]
Processing /home/waveburst/git/cWB/library/tools/cwb/macros/cwb_rootlogon.C...
OS : Linux
ROOT/WAT/CWB initialization starting...
Set Include Paths...
Load Libraries...
Warning in <TUnixSystem::SetDisplay>: DISPLAY not set, setting it to 151.95.123.14:0.0
Loading LAL Suite : /home/waveburst/SOFT//LAL/lalsuite_lal-master230218 ...
Loading cvode : /home/waveburst/SOFT//CVODE/cvode-2.7.0/dist ...
Loading cfitsio : /home/waveburst/SOFT//CFITSIO/cfitsio-3.45 ...
Loading HEALPix : /home/waveburst/SOFT//HEALPix/Healpix_3.40 ...
Loading WAT : /home/waveburst/git/cWB/library/tools/install/lib/wavelet.so ...
Loading Frame : /home/waveburst/SOFT//FRAMELIB/libframe-8.30_root-6.14.00_icc ...
Loading eBBH : /home/waveburst/git/cWB/library/tools/install/lib/eBBH.so ...
Loading STFT : /home/waveburst/git/cWB/library/tools/install/lib/STFT.so ...
Loading gwat : /home/waveburst/git/cWB/library/tools/install/lib/gwat.so ...
Loading Toolbox : /home/waveburst/git/cWB/library/tools/install/lib/Toolbox.so ...
Loading History : /home/waveburst/git/cWB/library/tools/install/lib/History.so ...
Loading Bicoherence : /home/waveburst/git/cWB/library/tools/install/lib/Bicoherence.so ...
Loading Filter : /home/waveburst/git/cWB/library/tools/install/lib/Filter.so ...
Loading CWB FRAME : /home/waveburst/git/cWB/library/tools/install/lib/frame.so ...
Loading cwb : /home/waveburst/git/cWB/library/tools/install/lib/cwb.so ...
Loading wavegraph : /home/waveburst/git/cWB/library/tools/install/lib/wavegraph.so ...
cWB library path : /home/waveburst/git/cWB/library
cWB config path : /home/waveburst/CONFIGS/cWB-config-master.2.8
****************************************************************************
* *
* W E L C O M E to C W B *
* *
* WAT Version 6.2.6.0 (XIFO=4) *
* Branch master/ *
* Hash 4fbcbfa076e28b708291a754cbbe7981f2ef2210 *
* Short Hash 4fbcbfa0 *
* *
* LAL Version 6.18.0.1 *
* FRLIB Version 8.30 *
* *
* Based on ROOT 6.14/00 *
* *
* ROOT6 ENABLED *
* CP11 ENABLED *
* ICC ENABLED *
* *
* CONFIG Tag master.2.8 *
* Hash f774dfad6c5704c7dd4856c87a00e774284c643a *
* *
****************************************************************************
Date: Thu Jul 26 19:11:41 2018 +0200
Compiled on Linux x86_64 ldas-pcdev5
Sat Jul 28 19:57:45 UTC 2018
Processing /home/waveburst/git/cWB/library/tools/cwb/macros/cwb2G_parameters.C...
www_dir : /home/waveburst/public_html/reports
data_label : O2_BKG_L1H1_LF_WP10_tutorial_root6_run1
condor_log : /usr1/waveburst
nodename : ldas-pcdev5
nodedir : /local/waveburst
Processing ./config/user_parameters.C...
Processing /home/waveburst/git/cWB/library/tools/cwb/macros/cwb_eparameters.C...
Processing /home/waveburst/git/cWB/library/tools/cwb/macros/cwb_clonedir.C...
cwb_clonedir : create symbolic links in output dir ...
0/3722
100/3722
200/3722
300/3722
400/3722
500/3722
600/3722
700/3722
800/3722
900/3722
1000/3722
1100/3722
1200/3722
1300/3722
1400/3722
1500/3722
1600/3722
1700/3722
1800/3722
1900/3722
2000/3722
2100/3722
2200/3722
2300/3722
2400/3722
2500/3722
2600/3722
2700/3722
2800/3722
2900/3722
3000/3722
3100/3722
3200/3722
3300/3722
3400/3722
3500/3722
3600/3722
3700/3722
Number of new links 3722/3722
The new working dir is : O2_BKG_L1H1_LF_WP10_tutorial_root6_run1
cwb_mkdir: Show/Hide Code
[CIT:waveburst@ldas-pcdev5 BKG]$ cwb_mkdir O2_BKG_L1H1_LF_WP10_tutorial_root6_run1
root [0]
Processing /home/waveburst/git/cWB/library/tools/cwb/macros/cwb_rootlogon.C...
OS : Linux
ROOT/WAT/CWB initialization starting...
Set Include Paths...
Load Libraries...
Warning in <TUnixSystem::SetDisplay>: DISPLAY not set, setting it to 151.95.123.14:0.0
Loading LAL Suite : /home/waveburst/SOFT//LAL/lalsuite_lal-master230218 ...
Loading cvode : /home/waveburst/SOFT//CVODE/cvode-2.7.0/dist ...
Loading cfitsio : /home/waveburst/SOFT//CFITSIO/cfitsio-3.45 ...
Loading HEALPix : /home/waveburst/SOFT//HEALPix/Healpix_3.40 ...
Loading WAT : /home/waveburst/git/cWB/library/tools/install/lib/wavelet.so ...
Loading Frame : /home/waveburst/SOFT//FRAMELIB/libframe-8.30_root-6.14.00_icc ...
Loading eBBH : /home/waveburst/git/cWB/library/tools/install/lib/eBBH.so ...
Loading STFT : /home/waveburst/git/cWB/library/tools/install/lib/STFT.so ...
Loading gwat : /home/waveburst/git/cWB/library/tools/install/lib/gwat.so ...
Loading Toolbox : /home/waveburst/git/cWB/library/tools/install/lib/Toolbox.so ...
Loading History : /home/waveburst/git/cWB/library/tools/install/lib/History.so ...
Loading Bicoherence : /home/waveburst/git/cWB/library/tools/install/lib/Bicoherence.so ...
Loading Filter : /home/waveburst/git/cWB/library/tools/install/lib/Filter.so ...
Loading CWB FRAME : /home/waveburst/git/cWB/library/tools/install/lib/frame.so ...
Loading cwb : /home/waveburst/git/cWB/library/tools/install/lib/cwb.so ...
Loading wavegraph : /home/waveburst/git/cWB/library/tools/install/lib/wavegraph.so ...
cWB library path : /home/waveburst/git/cWB/library
cWB config path : /home/waveburst/CONFIGS/cWB-config-master.2.8
****************************************************************************
* *
* W E L C O M E to C W B *
* *
* WAT Version 6.2.6.0 (XIFO=4) *
* Branch master/ *
* Hash 4fbcbfa076e28b708291a754cbbe7981f2ef2210 *
* Short Hash 4fbcbfa0 *
* *
* LAL Version 6.18.0.1 *
* FRLIB Version 8.30 *
* *
* Based on ROOT 6.14/00 *
* *
* ROOT6 ENABLED *
* CP11 ENABLED *
* ICC ENABLED *
* *
* CONFIG Tag master.2.8 *
* Hash f774dfad6c5704c7dd4856c87a00e774284c643a *
* *
****************************************************************************
Date: Thu Jul 26 19:11:41 2018 +0200
Compiled on Linux x86_64 ldas-pcdev5
Sat Jul 28 19:57:45 UTC 2018
Processing /home/waveburst/git/cWB/library/tools/cwb/macros/cwb2G_parameters.C...
www_dir : /home/waveburst/public_html/reports
data_label : BKG
condor_log : /usr1/waveburst
nodename : ldas-pcdev5
nodedir : /local/waveburst
Processing /home/waveburst/git/cWB/library/tools/cwb/macros/cwb_mkdir.C...
mkdir -p O2_BKG_L1H1_LF_WP10_tutorial_root6_run1
mkdir -p tmp
mkdir -p data
mkdir -p config
mkdir -p input
mkdir -p output
mkdir -p macro
mkdir -p report
dir "/usr1/waveburst" already exist
Do you want to remove the files ? (y/n)
mkdir -p /usr1/waveburst
mkdir -p log
mkdir -p condor
mkdir -p merge
mkdir -p report/ced
mkdir -p report/postprod
mkdir -p report/dump
dir "/home/waveburst/public_html/reports/O2_BKG_L1H1_LF_WP10_tutorial_root6_run1" already exist
Do you want to remove the files ? (y/n)
mkdir -p /home/waveburst/public_html/reports/O2_BKG_L1H1_LF_WP10_tutorial_root6_run1
ln -sf /home/waveburst/git/cWB/library/tools/cwb/scripts/cwb_loudest.sh condor/loudest.sh
ln -sf /home/waveburst/git/cWB/library/tools/cwb/scripts/cwb_ced.sh condor/ced.sh
ln -sf /home/waveburst/git/cWB/library/tools/cwb/scripts/cwb_net.sh condor/cwb.sh
ln -sf /home/waveburst/TUTORIALS/O2/BKG/O2_BKG_L1H1_LF_WP10_tutorial_root6_run1/report/postprod /home/waveburst/public_html/reports/O2_BKG_L1H1_LF_WP10_tutorial_root6_run1
ln -sf /home/waveburst/TUTORIALS/O2/BKG/O2_BKG_L1H1_LF_WP10_tutorial_root6_run1/report/ced /home/waveburst/public_html/reports/O2_BKG_L1H1_LF_WP10_tutorial_root6_run1
ln -sf /home/waveburst/TUTORIALS/O2/BKG/O2_BKG_L1H1_LF_WP10_tutorial_root6_run1/report/dump /home/waveburst/public_html/reports/O2_BKG_L1H1_LF_WP10_tutorial_root6_run1
The new working dir is : O2_BKG_L1H1_LF_WP10_tutorial_root6_run1
cwb_mkdir Show/Hide Code
[vedovato@atlas7 O2_BKG_L1H1_LF_WP10_tutorial_run1]$ ls *
condor:
ced.sh cwb.sh loudest.sh
config:
data:
input:
log:
macro:
merge:
output:
report:
ced dump postprod
tmp:
working dir Show/Hide Code
[CIT:waveburst@ldas-pcdev5 O2_BKG_L1H1_LF_WP10_tutorial_root6_run1]$ ls *
bkg_examples_root_shell.log cWB_analysis.log README
condor:
ced.sh cwb.sh loudest.sh
config:
user_parameters user_parameters.C user_pparameters user_pparameters.C
data:
input:
H1Cat0.txt H1Cat1.txt H1Cat2.txt HVETO_H1_ANALYSIS3_SEGMENTS_MERGED.txt L1Cat0.txt L1Cat1.txt L1Cat2.txt
log:
macro:
CWB_Plugin_QLveto_Gating.C CWB_Plugin_QLveto_Gating_C.d CWB_Plugin_QLveto_Gating_C.so LoopMakeFARvsRHO LoopMakeFARvsRHO.C MakeFARvsRHO MakeFARvsRHO.C MakeFARvsRHO_C.d MakeFARvsRHO_C.so
merge:
output:
report:
ced dump postprod
tmp:
cwb_dump sjob: Show/Hide Code
[CIT:waveburst@ldas-pcdev5 O2_BKG_L1H1_LF_WP10_tutorial_root6_run1]$ cwb_dump sjob
root [0]
Processing /home/waveburst/git/cWB/library/tools/cwb/macros/cwb_rootlogon.C...
OS : Linux
ROOT/WAT/CWB initialization starting...
Set Include Paths...
Load Libraries...
Warning in <TUnixSystem::SetDisplay>: DISPLAY not set, setting it to 151.95.123.14:0.0
Loading LAL Suite : /home/waveburst/SOFT//LAL/lalsuite_lal-master230218 ...
Loading cvode : /home/waveburst/SOFT//CVODE/cvode-2.7.0/dist ...
Loading cfitsio : /home/waveburst/SOFT//CFITSIO/cfitsio-3.45 ...
Loading HEALPix : /home/waveburst/SOFT//HEALPix/Healpix_3.40 ...
Loading WAT : /home/waveburst/git/cWB/library/tools/install/lib/wavelet.so ...
Loading Frame : /home/waveburst/SOFT//FRAMELIB/libframe-8.30_root-6.14.00_icc ...
Loading eBBH : /home/waveburst/git/cWB/library/tools/install/lib/eBBH.so ...
Loading STFT : /home/waveburst/git/cWB/library/tools/install/lib/STFT.so ...
Loading gwat : /home/waveburst/git/cWB/library/tools/install/lib/gwat.so ...
Loading Toolbox : /home/waveburst/git/cWB/library/tools/install/lib/Toolbox.so ...
Loading History : /home/waveburst/git/cWB/library/tools/install/lib/History.so ...
Loading Bicoherence : /home/waveburst/git/cWB/library/tools/install/lib/Bicoherence.so ...
Loading Filter : /home/waveburst/git/cWB/library/tools/install/lib/Filter.so ...
Loading CWB FRAME : /home/waveburst/git/cWB/library/tools/install/lib/frame.so ...
Loading cwb : /home/waveburst/git/cWB/library/tools/install/lib/cwb.so ...
Loading wavegraph : /home/waveburst/git/cWB/library/tools/install/lib/wavegraph.so ...
cWB library path : /home/waveburst/git/cWB/library
cWB config path : /home/waveburst/CONFIGS/cWB-config-master.2.8
****************************************************************************
* *
* W E L C O M E to C W B *
* *
* WAT Version 6.2.6.0 (XIFO=4) *
* Branch master/ *
* Hash 4fbcbfa076e28b708291a754cbbe7981f2ef2210 *
* Short Hash 4fbcbfa0 *
* *
* LAL Version 6.18.0.1 *
* FRLIB Version 8.30 *
* *
* Based on ROOT 6.14/00 *
* *
* ROOT6 ENABLED *
* CP11 ENABLED *
* ICC ENABLED *
* *
* CONFIG Tag master.2.8 *
* Hash f774dfad6c5704c7dd4856c87a00e774284c643a *
* *
****************************************************************************
Date: Thu Jul 26 19:11:41 2018 +0200
Compiled on Linux x86_64 ldas-pcdev5
Sat Jul 28 19:57:45 UTC 2018
Processing /home/waveburst/git/cWB/library/tools/cwb/macros/cwb2G_parameters.C...
www_dir : /home/waveburst/public_html/reports
data_label : O2_BKG_L1H1_LF_WP10_tutorial_root6_run1
condor_log : /usr1/waveburst
nodename : ldas-pcdev5
nodedir : /local/waveburst
Processing ./config/user_parameters.C...
Processing /home/waveburst/git/cWB/library/tools/cwb/macros/cwb_eparameters.C...
Processing /home/waveburst/git/cWB/library/tools/cwb/macros/cwb_dump_sjob.C...
-------------------------------------------------------------------------------------
Write output file : report/dump/O2_BKG_L1H1_LF_WP10_tutorial_root6_run1.cat1
Dump file : report/dump/O2_BKG_L1H1_LF_WP10_tutorial_root6_run1.cat1
cat1 livetime : 482779 sec 134.105 h 5.58772 day
-------------------------------------------------------------------------------------
Write output file : report/dump/O2_BKG_L1H1_LF_WP10_tutorial_root6_run1.sjob
Dump file : report/dump/O2_BKG_L1H1_LF_WP10_tutorial_root6_run1.sjob
compile plugin: Show/Hide Code
[CIT:waveburst@ldas-pcdev5 O2_BKG_L1H1_LF_WP10_tutorial_root6_run1]$ root -l -b -q macro/CWB_Plugin_QLveto_Gating.C++
OS : Linux
ROOT/WAT/CWB initialization starting...
Set Include Paths...
Load Libraries...
Warning in <TUnixSystem::SetDisplay>: DISPLAY not set, setting it to 151.95.123.14:0.0
Loading LAL Suite : /home/waveburst/SOFT//LAL/lalsuite_lal-master230218 ...
Loading cvode : /home/waveburst/SOFT//CVODE/cvode-2.7.0/dist ...
Loading cfitsio : /home/waveburst/SOFT//CFITSIO/cfitsio-3.45 ...
Loading HEALPix : /home/waveburst/SOFT//HEALPix/Healpix_3.40 ...
Loading WAT : /home/waveburst/git/cWB/library/tools/install/lib/wavelet.so ...
Loading Frame : /home/waveburst/SOFT//FRAMELIB/libframe-8.30_root-6.14.00_icc ...
Loading eBBH : /home/waveburst/git/cWB/library/tools/install/lib/eBBH.so ...
Loading STFT : /home/waveburst/git/cWB/library/tools/install/lib/STFT.so ...
Loading gwat : /home/waveburst/git/cWB/library/tools/install/lib/gwat.so ...
Loading Toolbox : /home/waveburst/git/cWB/library/tools/install/lib/Toolbox.so ...
Loading History : /home/waveburst/git/cWB/library/tools/install/lib/History.so ...
Loading Bicoherence : /home/waveburst/git/cWB/library/tools/install/lib/Bicoherence.so ...
Loading Filter : /home/waveburst/git/cWB/library/tools/install/lib/Filter.so ...
Loading CWB FRAME : /home/waveburst/git/cWB/library/tools/install/lib/frame.so ...
Loading cwb : /home/waveburst/git/cWB/library/tools/install/lib/cwb.so ...
Loading wavegraph : /home/waveburst/git/cWB/library/tools/install/lib/wavegraph.so ...
cWB library path : /home/waveburst/git/cWB/library
cWB config path : /home/waveburst/CONFIGS/cWB-config-master.2.8
****************************************************************************
* *
* W E L C O M E to C W B *
* *
* WAT Version 6.2.6.0 (XIFO=4) *
* Branch master/ *
* Hash 4fbcbfa076e28b708291a754cbbe7981f2ef2210 *
* Short Hash 4fbcbfa0 *
* *
* LAL Version 6.18.0.1 *
* FRLIB Version 8.30 *
* *
* Based on ROOT 6.14/00 *
* *
* ROOT6 ENABLED *
* CP11 ENABLED *
* ICC ENABLED *
* *
* CONFIG Tag master.2.8 *
* Hash f774dfad6c5704c7dd4856c87a00e774284c643a *
* *
****************************************************************************
Date: Thu Jul 26 19:11:41 2018 +0200
Compiled on Linux x86_64 ldas-pcdev5
Sat Jul 28 19:57:45 UTC 2018
Processing macro/CWB_Plugin_QLveto_Gating.C++...
Info in <TUnixSystem::ACLiC>: creating shared library /home/waveburst/TUTORIALS/O2/BKG/O2_BKG_L1H1_LF_WP10_tutorial_root6_run1/./macro/CWB_Plugin_QLveto_Gating_C.so
input_line_32:2:3: error: use of undeclared identifier 'CWB_Plugin_QLveto_Gating'
(CWB_Plugin_QLveto_Gating())
^
Error in <HandleInterpreterException>: Error evaluating expression (CWB_Plugin_QLveto_Gating()).
Execution of your code was aborted.
cwb_condor create Show/Hide Code
[CIT:waveburst@ldas-pcdev5 O2_BKG_L1H1_LF_WP10_tutorial_root6_run1]$ cwb_condor create
root [0]
Processing /home/waveburst/git/cWB/library/tools/cwb/macros/cwb_rootlogon.C...
OS : Linux
ROOT/WAT/CWB initialization starting...
Set Include Paths...
Load Libraries...
Warning in <TUnixSystem::SetDisplay>: DISPLAY not set, setting it to 151.95.123.14:0.0
Loading LAL Suite : /home/waveburst/SOFT//LAL/lalsuite_lal-master230218 ...
Loading cvode : /home/waveburst/SOFT//CVODE/cvode-2.7.0/dist ...
Loading cfitsio : /home/waveburst/SOFT//CFITSIO/cfitsio-3.45 ...
Loading HEALPix : /home/waveburst/SOFT//HEALPix/Healpix_3.40 ...
Loading WAT : /home/waveburst/git/cWB/library/tools/install/lib/wavelet.so ...
Loading Frame : /home/waveburst/SOFT//FRAMELIB/libframe-8.30_root-6.14.00_icc ...
Loading eBBH : /home/waveburst/git/cWB/library/tools/install/lib/eBBH.so ...
Loading STFT : /home/waveburst/git/cWB/library/tools/install/lib/STFT.so ...
Loading gwat : /home/waveburst/git/cWB/library/tools/install/lib/gwat.so ...
Loading Toolbox : /home/waveburst/git/cWB/library/tools/install/lib/Toolbox.so ...
Loading History : /home/waveburst/git/cWB/library/tools/install/lib/History.so ...
Loading Bicoherence : /home/waveburst/git/cWB/library/tools/install/lib/Bicoherence.so ...
Loading Filter : /home/waveburst/git/cWB/library/tools/install/lib/Filter.so ...
Loading CWB FRAME : /home/waveburst/git/cWB/library/tools/install/lib/frame.so ...
Loading cwb : /home/waveburst/git/cWB/library/tools/install/lib/cwb.so ...
Loading wavegraph : /home/waveburst/git/cWB/library/tools/install/lib/wavegraph.so ...
cWB library path : /home/waveburst/git/cWB/library
cWB config path : /home/waveburst/CONFIGS/cWB-config-master.2.8
****************************************************************************
* *
* W E L C O M E to C W B *
* *
* WAT Version 6.2.6.0 (XIFO=4) *
* Branch master/ *
* Hash 4fbcbfa076e28b708291a754cbbe7981f2ef2210 *
* Short Hash 4fbcbfa0 *
* *
* LAL Version 6.18.0.1 *
* FRLIB Version 8.30 *
* *
* Based on ROOT 6.14/00 *
* *
* ROOT6 ENABLED *
* CP11 ENABLED *
* ICC ENABLED *
* *
* CONFIG Tag master.2.8 *
* Hash f774dfad6c5704c7dd4856c87a00e774284c643a *
* *
****************************************************************************
Date: Thu Jul 26 19:11:41 2018 +0200
Compiled on Linux x86_64 ldas-pcdev5
Sat Jul 28 19:57:45 UTC 2018
Processing /home/waveburst/git/cWB/library/tools/cwb/macros/cwb2G_parameters.C...
www_dir : /home/waveburst/public_html/reports
data_label : O2_BKG_L1H1_LF_WP10_tutorial_root6_run1
condor_log : /usr1/waveburst
nodename : ldas-pcdev5
nodedir : /local/waveburst
Processing ./config/user_parameters.C...
Processing /home/waveburst/git/cWB/library/tools/cwb/macros/cwb_eparameters.C...
Processing /home/waveburst/git/cWB/library/tools/cwb/macros/cwb_condor_create.C...
CWB::Toolbox::getSlagList : built-in slags
SLAG ifo[0] ifo[1]
0 0 0
1 0 -1
2 0 1
3 0 2
4 0 -2
slagList size : 12986
Start segments selection from dq cat1 list ...
input list size 12986
jobList size 2598
0 - Rejected slags = 0/12986
1000 - Rejected slags = 777/12986
2000 - Rejected slags = 1544/12986
3000 - Rejected slags = 2074/12986
4000 - Rejected slags = 2873/12986
5000 - Rejected slags = 3621/12986
6000 - Rejected slags = 4326/12986
7000 - Rejected slags = 5078/12986
8000 - Rejected slags = 5629/12986
9000 - Rejected slags = 6481/12986
10000 - Rejected slags = 7262/12986
11000 - Rejected slags = 7842/12986
12000 - Rejected slags = 8614/12986
12986 - Rejected slags = 9264/12986
Slag livetime before dq cat1 is approximately 2479831 sec = 28.70 days
Slag livetime after dq cat1 is approximately 2307640 sec = 26.71 days
Number of selected jobs after cat1 : 3722
Start segments selection from dq cat2 list ...
input list size 3722
jobList size 2598
0 - Rejected slags = 0/3722
1000 - Rejected slags = 0/3722
2000 - Rejected slags = 0/3722
3000 - Rejected slags = 0/3722
3722 - Rejected slags = 0/3722
Slag livetime before dq cat2 is approximately 2233200 sec = 25.85 days
Slag livetime after dq cat2 is approximately 2233200 sec = 25.85 days
Number of selected jobs after cat2 : 3722
To submit condor jobs, type : cwb_condor submit
cwb_condor submit: Show/Hide Code
[CIT:waveburst@ldas-pcdev5 O2_BKG_L1H1_LF_WP10_tutorial_root6_run1]$ cwb_condor submit
root [0]
Processing /home/waveburst/git/cWB/library/tools/cwb/macros/cwb_rootlogon.C...
OS : Linux
ROOT/WAT/CWB initialization starting...
Set Include Paths...
Load Libraries...
Warning in <TUnixSystem::SetDisplay>: DISPLAY not set, setting it to 151.95.123.14:0.0
Loading LAL Suite : /home/waveburst/SOFT//LAL/lalsuite_lal-master230218 ...
Loading cvode : /home/waveburst/SOFT//CVODE/cvode-2.7.0/dist ...
Loading cfitsio : /home/waveburst/SOFT//CFITSIO/cfitsio-3.45 ...
Loading HEALPix : /home/waveburst/SOFT//HEALPix/Healpix_3.40 ...
Loading WAT : /home/waveburst/git/cWB/library/tools/install/lib/wavelet.so ...
Loading Frame : /home/waveburst/SOFT//FRAMELIB/libframe-8.30_root-6.14.00_icc ...
Loading eBBH : /home/waveburst/git/cWB/library/tools/install/lib/eBBH.so ...
Loading STFT : /home/waveburst/git/cWB/library/tools/install/lib/STFT.so ...
Loading gwat : /home/waveburst/git/cWB/library/tools/install/lib/gwat.so ...
Loading Toolbox : /home/waveburst/git/cWB/library/tools/install/lib/Toolbox.so ...
Loading History : /home/waveburst/git/cWB/library/tools/install/lib/History.so ...
Loading Bicoherence : /home/waveburst/git/cWB/library/tools/install/lib/Bicoherence.so ...
Loading Filter : /home/waveburst/git/cWB/library/tools/install/lib/Filter.so ...
Loading CWB FRAME : /home/waveburst/git/cWB/library/tools/install/lib/frame.so ...
Loading cwb : /home/waveburst/git/cWB/library/tools/install/lib/cwb.so ...
Loading wavegraph : /home/waveburst/git/cWB/library/tools/install/lib/wavegraph.so ...
cWB library path : /home/waveburst/git/cWB/library
cWB config path : /home/waveburst/CONFIGS/cWB-config-master.2.8
****************************************************************************
* *
* W E L C O M E to C W B *
* *
* WAT Version 6.2.6.0 (XIFO=4) *
* Branch master/ *
* Hash 4fbcbfa076e28b708291a754cbbe7981f2ef2210 *
* Short Hash 4fbcbfa0 *
* *
* LAL Version 6.18.0.1 *
* FRLIB Version 8.30 *
* *
* Based on ROOT 6.14/00 *
* *
* ROOT6 ENABLED *
* CP11 ENABLED *
* ICC ENABLED *
* *
* CONFIG Tag master.2.8 *
* Hash f774dfad6c5704c7dd4856c87a00e774284c643a *
* *
****************************************************************************
Date: Thu Jul 26 19:11:41 2018 +0200
Compiled on Linux x86_64 ldas-pcdev5
Sat Jul 28 19:57:45 UTC 2018
Processing /home/waveburst/git/cWB/library/tools/cwb/macros/cwb2G_parameters.C...
www_dir : /home/waveburst/public_html/reports
data_label : O2_BKG_L1H1_LF_WP10_tutorial_root6_run1
condor_log : /usr1/waveburst
nodename : ldas-pcdev5
nodedir : /local/waveburst
Processing ./config/user_parameters.C...
Processing /home/waveburst/git/cWB/library/tools/cwb/macros/cwb_eparameters.C...
Processing /home/waveburst/git/cWB/library/tools/cwb/macros/cwb_condor_submit.C...
cd /home/waveburst/TUTORIALS/O2/BKG/O2_BKG_L1H1_LF_WP10_tutorial_root6_run1/condor;condor_submit_dag O2_BKG_L1H1_LF_WP10_tutorial_root6_run1.dag
-----------------------------------------------------------------------
File for submitting this DAG to HTCondor : O2_BKG_L1H1_LF_WP10_tutorial_root6_run1.dag.condor.sub
Log of DAGMan debugging messages : O2_BKG_L1H1_LF_WP10_tutorial_root6_run1.dag.dagman.out
Log of HTCondor library output : O2_BKG_L1H1_LF_WP10_tutorial_root6_run1.dag.lib.out
Log of HTCondor library error messages : O2_BKG_L1H1_LF_WP10_tutorial_root6_run1.dag.lib.err
Log of the life of condor_dagman itself : O2_BKG_L1H1_LF_WP10_tutorial_root6_run1.dag.dagman.log
Submitting job(s).
1 job(s) submitted to cluster 26407630.
-----------------------------------------------------------------------
[CIT:waveburst@ldas-pcdev5 O2_BKG_L1H1_LF_WP10_tutorial_root6_run1]$ condor_q waveburst
-- Schedd: ldas-pcdev5.ligo.caltech.edu : <10.14.0.51:9618?... @ 08/11/18 10:41:12
OWNER BATCH_NAME SUBMITTED DONE RUN IDLE TOTAL JOB_IDS
waveburst O2_BKG_L1H1_LF_WP10_tutorial_root6_run1.dag+26407630 8/11 10:41 _ _ _ 3722 0.0
1 jobs; 0 completed, 0 removed, 0 idle, 1 running, 0 held, 0 suspended
cwb_merge: Show/Hide Code
[CIT:waveburst@ldas-pcdev5 O2_BKG_L1H1_LF_WP10_tutorial_root6_run1]$ cwb_merge M1 '--nthreads 1'
root [0]
Processing /home/waveburst/git/cWB/library/tools/cwb/macros/cwb_rootlogon.C...
OS : Linux
ROOT/WAT/CWB initialization starting...
Set Include Paths...
Load Libraries...
Warning in <TUnixSystem::SetDisplay>: DISPLAY not set, setting it to 151.95.123.14:0.0
Loading LAL Suite : /home/waveburst/SOFT//LAL/lalsuite_lal-master230218 ...
Loading cvode : /home/waveburst/SOFT//CVODE/cvode-2.7.0/dist ...
Loading cfitsio : /home/waveburst/SOFT//CFITSIO/cfitsio-3.45 ...
Loading HEALPix : /home/waveburst/SOFT//HEALPix/Healpix_3.40 ...
Loading WAT : /home/waveburst/git/cWB/library/tools/install/lib/wavelet.so ...
Loading Frame : /home/waveburst/SOFT//FRAMELIB/libframe-8.30_root-6.14.00_icc ...
Loading eBBH : /home/waveburst/git/cWB/library/tools/install/lib/eBBH.so ...
Loading STFT : /home/waveburst/git/cWB/library/tools/install/lib/STFT.so ...
Loading gwat : /home/waveburst/git/cWB/library/tools/install/lib/gwat.so ...
Loading Toolbox : /home/waveburst/git/cWB/library/tools/install/lib/Toolbox.so ...
Loading History : /home/waveburst/git/cWB/library/tools/install/lib/History.so ...
Loading Bicoherence : /home/waveburst/git/cWB/library/tools/install/lib/Bicoherence.so ...
Loading Filter : /home/waveburst/git/cWB/library/tools/install/lib/Filter.so ...
Loading CWB FRAME : /home/waveburst/git/cWB/library/tools/install/lib/frame.so ...
Loading cwb : /home/waveburst/git/cWB/library/tools/install/lib/cwb.so ...
Loading wavegraph : /home/waveburst/git/cWB/library/tools/install/lib/wavegraph.so ...
cWB library path : /home/waveburst/git/cWB/library
cWB config path : /home/waveburst/CONFIGS/cWB-config-master.2.8
****************************************************************************
* *
* W E L C O M E to C W B *
* *
* WAT Version 6.2.6.0 (XIFO=4) *
* Branch master/ *
* Hash 4fbcbfa076e28b708291a754cbbe7981f2ef2210 *
* Short Hash 4fbcbfa0 *
* *
* LAL Version 6.18.0.1 *
* FRLIB Version 8.30 *
* *
* Based on ROOT 6.14/00 *
* *
* ROOT6 ENABLED *
* CP11 ENABLED *
* ICC ENABLED *
* *
* CONFIG Tag master.2.8 *
* Hash f774dfad6c5704c7dd4856c87a00e774284c643a *
* *
****************************************************************************
Date: Thu Jul 26 19:11:41 2018 +0200
Compiled on Linux x86_64 ldas-pcdev5
Sat Jul 28 19:57:45 UTC 2018
Processing /home/waveburst/git/cWB/library/tools/cwb/macros/cwb2G_parameters.C...
www_dir : /home/waveburst/public_html/reports
data_label : O2_BKG_L1H1_LF_WP10_tutorial_root6_run1
condor_log : /usr1/waveburst
nodename : ldas-pcdev5
nodedir : /local/waveburst
Processing ./config/user_parameters.C...
Processing /home/waveburst/git/cWB/library/tools/cwb/macros/cwb_eparameters.C...
Processing /home/waveburst/git/cWB/library/tools/cwb/macros/cwb_merge.C...
No Log files are present on the directory : output
Start merging to file : O2_BKG_L1H1_LF_WP10_tutorial_root6_run1.M1
CWB::Toolbox::mergeCWBTrees - Start merging 3722 files (production) ...
CWB::Toolbox::mergeCWBTrees - Add file to chain in progress ...
CWB::Toolbox::mergeCWBTrees - 1000/3722 files
CWB::Toolbox::mergeCWBTrees - 2000/3722 files
CWB::Toolbox::mergeCWBTrees - 3000/3722 files
CWB::Toolbox::mergeCWBTrees - Merging merge/wave_O2_BKG_L1H1_LF_WP10_tutorial_root6_run1.M1.root in progress ...
CWB::Toolbox::mergeCWBTrees - Merging merge/live_O2_BKG_L1H1_LF_WP10_tutorial_root6_run1.M1.root in progress ...
CWB::Toolbox::mergeCWBTrees - Merged files : 3722
/home/waveburst/TUTORIALS/O2/BKG/O2_BKG_L1H1_LF_WP10_tutorial_root6_run1/merge/merge_O2_BKG_L1H1_LF_WP10_tutorial_root6_run1.M1.lst
Merged files : 3722/3722
cwb_setveto: Show/Hide Code
[CIT:waveburst@ldas-pcdev5 O2_BKG_L1H1_LF_WP10_tutorial_root6_run1]$ cwb_setveto M1
Warning in <TApplication::GetOptions>: macro not found
root [0]
Processing /home/waveburst/git/cWB/library/tools/cwb/macros/cwb_rootlogon.C...
OS : Linux
ROOT/WAT/CWB initialization starting...
Set Include Paths...
Load Libraries...
Warning in <TUnixSystem::SetDisplay>: DISPLAY not set, setting it to 151.95.123.14:0.0
Loading LAL Suite : /home/waveburst/SOFT//LAL/lalsuite_lal-master230218 ...
Loading cvode : /home/waveburst/SOFT//CVODE/cvode-2.7.0/dist ...
Loading cfitsio : /home/waveburst/SOFT//CFITSIO/cfitsio-3.45 ...
Loading HEALPix : /home/waveburst/SOFT//HEALPix/Healpix_3.40 ...
Loading WAT : /home/waveburst/git/cWB/library/tools/install/lib/wavelet.so ...
Loading Frame : /home/waveburst/SOFT//FRAMELIB/libframe-8.30_root-6.14.00_icc ...
Loading eBBH : /home/waveburst/git/cWB/library/tools/install/lib/eBBH.so ...
Loading STFT : /home/waveburst/git/cWB/library/tools/install/lib/STFT.so ...
Loading gwat : /home/waveburst/git/cWB/library/tools/install/lib/gwat.so ...
Loading Toolbox : /home/waveburst/git/cWB/library/tools/install/lib/Toolbox.so ...
Loading History : /home/waveburst/git/cWB/library/tools/install/lib/History.so ...
Loading Bicoherence : /home/waveburst/git/cWB/library/tools/install/lib/Bicoherence.so ...
Loading Filter : /home/waveburst/git/cWB/library/tools/install/lib/Filter.so ...
Loading CWB FRAME : /home/waveburst/git/cWB/library/tools/install/lib/frame.so ...
Loading cwb : /home/waveburst/git/cWB/library/tools/install/lib/cwb.so ...
Loading wavegraph : /home/waveburst/git/cWB/library/tools/install/lib/wavegraph.so ...
cWB library path : /home/waveburst/git/cWB/library
cWB config path : /home/waveburst/CONFIGS/cWB-config-master.2.8
****************************************************************************
* *
* W E L C O M E to C W B *
* *
* WAT Version 6.2.6.0 (XIFO=4) *
* Branch master/ *
* Hash 4fbcbfa076e28b708291a754cbbe7981f2ef2210 *
* Short Hash 4fbcbfa0 *
* *
* LAL Version 6.18.0.1 *
* FRLIB Version 8.30 *
* *
* Based on ROOT 6.14/00 *
* *
* ROOT6 ENABLED *
* CP11 ENABLED *
* ICC ENABLED *
* *
* CONFIG Tag master.2.8 *
* Hash f774dfad6c5704c7dd4856c87a00e774284c643a *
* *
****************************************************************************
Date: Thu Jul 26 19:11:41 2018 +0200
Compiled on Linux x86_64 ldas-pcdev5
Sat Jul 28 19:57:45 UTC 2018
Processing /home/waveburst/git/cWB/library/tools/cwb/macros/cwb2G_parameters.C...
www_dir : /home/waveburst/public_html/reports
data_label : O2_BKG_L1H1_LF_WP10_tutorial_root6_run1
condor_log : /usr1/waveburst
nodename : ldas-pcdev5
nodedir : /local/waveburst
Processing ./config/user_parameters.C...
Processing /home/waveburst/git/cWB/library/tools/cwb/macros/cwb_eparameters.C...
Processing /home/waveburst/git/cWB/library/tools/cwb/macros/cwb_pparameters.C...
merge/wave_O2_BKG_L1H1_LF_WP10_tutorial_root6_run1.M1.root
merge/live_O2_BKG_L1H1_LF_WP10_tutorial_root6_run1.M1.root
Processing ./config/user_pparameters.C...
Processing /home/waveburst/git/cWB/library/tools/cwb/macros/cwb_epparameters.C...
veto_cat2 : veto_cat2_L1&&veto_cat2_H1
ch2 : netcc[0]>0.000000&&!(lag[2]==0&&slag[2]==0)&&(rho[0]>0.000000)&&(veto_cat2_L1&&veto_cat2_H1)
veto_vetoed : netcc[0]>0.000000&&!(lag[2]==0&&slag[2]==0)&&(rho[0]>0.000000)&&(veto_cat2_L1&&veto_cat2_H1)&&(veto_hveto_L1||veto_hveto_H1)
veto_not_vetoed : netcc[0]>0.000000&&!(lag[2]==0&&slag[2]==0)&&(rho[0]>0.000000)&&(veto_cat2_L1&&veto_cat2_H1)&&(!veto_hveto_L1&&!veto_hveto_H1)
Processing /home/waveburst/git/cWB/library/tools/cwb/macros/cwb_setveto.C...
wave_O2_BKG_L1H1_LF_WP10_tutorial_root6_run1.M1.root
XDQF[0] veto_cat2_L1 NETWORK : L1 H1
XDQF[1] veto_cat2_H1 NETWORK : L1 H1
XDQF[2] veto_hveto_L1 NETWORK : L1 H1
XDQF[3] veto_hveto_H1 NETWORK : L1 H1
Toolbox::getJobList : lost livetime after building of the standard job list = 4381 sec
veto file label : .V_cat2LH_hvetoLH.root
veto_cat2_L1 list duration -2147483648 list size 5021
Opening BKG File : merge/wave_O2_BKG_L1H1_LF_WP10_tutorial_root6_run1.M1.root
tree size : 16819
Start applying flag to time[0]...
0 - 10 - 20 - 30 - 40 - 50 - 60 - 70 - 80 - 90
Writing new ofile merge/wave_O2_BKG_L1H1_LF_WP10_tutorial_root6_run1.M1.root.tmp.1
osize : 16819
Flagged events: 16701 Percentage: 0.992984
veto_cat2_H1 list duration -2147483648 list size 5021
Opening BKG File : merge/wave_O2_BKG_L1H1_LF_WP10_tutorial_root6_run1.M1.root.tmp.1
tree size : 16819
Start applying flag to time[1]...
0 - 10 - 20 - 30 - 40 - 50 - 60 - 70 - 80 - 90
Writing new ofile merge/wave_O2_BKG_L1H1_LF_WP10_tutorial_root6_run1.M1.root.tmp.2
osize : 16819
Flagged events: 16620 Percentage: 0.988168
veto_hveto_L1 list duration 576 list size 1433
Opening BKG File : merge/wave_O2_BKG_L1H1_LF_WP10_tutorial_root6_run1.M1.root.tmp.2
tree size : 16819
Start applying flag to time[0]...
0 - 10 - 20 - 30 - 40 - 50 - 60 - 70 - 80 - 90
Writing new ofile merge/wave_O2_BKG_L1H1_LF_WP10_tutorial_root6_run1.M1.root.tmp.1
osize : 16819
Flagged events: 59 Percentage: 0.00350794
veto_hveto_H1 list duration 1097 list size 1736
Opening BKG File : merge/wave_O2_BKG_L1H1_LF_WP10_tutorial_root6_run1.M1.root.tmp.1
tree size : 16819
Start applying flag to time[1]...
0 - 10 - 20 - 30 - 40 - 50 - 60 - 70 - 80 - 90
Writing new ofile merge/wave_O2_BKG_L1H1_LF_WP10_tutorial_root6_run1.M1.root.tmp.2
osize : 16819
Flagged events: 429 Percentage: 0.0255069
rfile : merge/wave_O2_BKG_L1H1_LF_WP10_tutorial_root6_run1.M1.root.tmp.1
ifile : merge/wave_O2_BKG_L1H1_LF_WP10_tutorial_root6_run1.M1.root.tmp.2
ofile : merge/wave_O2_BKG_L1H1_LF_WP10_tutorial_root6_run1.M1.V_cat2LH_hvetoLH.root
lfile : live_O2_BKG_L1H1_LF_WP10_tutorial_root6_run1.M1.V_cat2LH_hvetoLH.root
mfile : mdc_O2_BKG_L1H1_LF_WP10_tutorial_root6_run1.M1.V_cat2LH_hvetoLH.root
ilstfile : merge/merge_O2_BKG_L1H1_LF_WP10_tutorial_root6_run1.M1.lst
lstfile : merge_O2_BKG_L1H1_LF_WP10_tutorial_root6_run1.M1.V_cat2LH_hvetoLH.lst
mv merge/wave_O2_BKG_L1H1_LF_WP10_tutorial_root6_run1.M1.root.tmp.2 merge/wave_O2_BKG_L1H1_LF_WP10_tutorial_root6_run1.M1.V_cat2LH_hvetoLH.root
cd merge;ln -sf ../merge/live_O2_BKG_L1H1_LF_WP10_tutorial_root6_run1.M1.root live_O2_BKG_L1H1_LF_WP10_tutorial_root6_run1.M1.V_cat2LH_hvetoLH.root
cd merge;ln -sf ../merge/merge_O2_BKG_L1H1_LF_WP10_tutorial_root6_run1.M1.lst merge_O2_BKG_L1H1_LF_WP10_tutorial_root6_run1.M1.V_cat2LH_hvetoLH.lst
rm merge/wave_O2_BKG_L1H1_LF_WP10_tutorial_root6_run1.M1.root.tmp.1
cwb_setcuts: Show/Hide Code
[CIT:waveburst@ldas-pcdev5 O2_BKG_L1H1_LF_WP10_tutorial_root6_run1]$ cwb_setcuts M1.V_cat2LH_hvetoLH "--tcuts bin1_cut --label bin1_cut"
Warning in <TApplication::GetOptions>: macro not found
root [0]
Processing /home/waveburst/git/cWB/library/tools/cwb/macros/cwb_rootlogon.C...
OS : Linux
ROOT/WAT/CWB initialization starting...
Set Include Paths...
Load Libraries...
Warning in <TUnixSystem::SetDisplay>: DISPLAY not set, setting it to 151.95.123.14:0.0
Loading LAL Suite : /home/waveburst/SOFT//LAL/lalsuite_lal-master230218 ...
Loading cvode : /home/waveburst/SOFT//CVODE/cvode-2.7.0/dist ...
Loading cfitsio : /home/waveburst/SOFT//CFITSIO/cfitsio-3.45 ...
Loading HEALPix : /home/waveburst/SOFT//HEALPix/Healpix_3.40 ...
Loading WAT : /home/waveburst/git/cWB/library/tools/install/lib/wavelet.so ...
Loading Frame : /home/waveburst/SOFT//FRAMELIB/libframe-8.30_root-6.14.00_icc ...
Loading eBBH : /home/waveburst/git/cWB/library/tools/install/lib/eBBH.so ...
Loading STFT : /home/waveburst/git/cWB/library/tools/install/lib/STFT.so ...
Loading gwat : /home/waveburst/git/cWB/library/tools/install/lib/gwat.so ...
Loading Toolbox : /home/waveburst/git/cWB/library/tools/install/lib/Toolbox.so ...
Loading History : /home/waveburst/git/cWB/library/tools/install/lib/History.so ...
Loading Bicoherence : /home/waveburst/git/cWB/library/tools/install/lib/Bicoherence.so ...
Loading Filter : /home/waveburst/git/cWB/library/tools/install/lib/Filter.so ...
Loading CWB FRAME : /home/waveburst/git/cWB/library/tools/install/lib/frame.so ...
Loading cwb : /home/waveburst/git/cWB/library/tools/install/lib/cwb.so ...
Loading wavegraph : /home/waveburst/git/cWB/library/tools/install/lib/wavegraph.so ...
cWB library path : /home/waveburst/git/cWB/library
cWB config path : /home/waveburst/CONFIGS/cWB-config-master.2.8
****************************************************************************
* *
* W E L C O M E to C W B *
* *
* WAT Version 6.2.6.0 (XIFO=4) *
* Branch master/ *
* Hash 4fbcbfa076e28b708291a754cbbe7981f2ef2210 *
* Short Hash 4fbcbfa0 *
* *
* LAL Version 6.18.0.1 *
* FRLIB Version 8.30 *
* *
* Based on ROOT 6.14/00 *
* *
* ROOT6 ENABLED *
* CP11 ENABLED *
* ICC ENABLED *
* *
* CONFIG Tag master.2.8 *
* Hash f774dfad6c5704c7dd4856c87a00e774284c643a *
* *
****************************************************************************
Date: Thu Jul 26 19:11:41 2018 +0200
Compiled on Linux x86_64 ldas-pcdev5
Sat Jul 28 19:57:45 UTC 2018
Processing /home/waveburst/git/cWB/library/tools/cwb/macros/cwb2G_parameters.C...
www_dir : /home/waveburst/public_html/reports
data_label : O2_BKG_L1H1_LF_WP10_tutorial_root6_run1
condor_log : /usr1/waveburst
nodename : ldas-pcdev5
nodedir : /local/waveburst
Processing ./config/user_parameters.C...
Processing /home/waveburst/git/cWB/library/tools/cwb/macros/cwb_eparameters.C...
Processing /home/waveburst/git/cWB/library/tools/cwb/macros/cwb_pparameters.C...
merge/wave_O2_BKG_L1H1_LF_WP10_tutorial_root6_run1.M1.V_cat2LH_hvetoLH.root
merge/live_O2_BKG_L1H1_LF_WP10_tutorial_root6_run1.M1.V_cat2LH_hvetoLH.root
Processing ./config/user_pparameters.C...
Processing /home/waveburst/git/cWB/library/tools/cwb/macros/cwb_epparameters.C...
veto_cat2 : veto_cat2_L1&&veto_cat2_H1
ch2 : netcc[0]>0.000000&&!(lag[2]==0&&slag[2]==0)&&(rho[0]>0.000000)&&(veto_cat2_L1&&veto_cat2_H1)
veto_vetoed : netcc[0]>0.000000&&!(lag[2]==0&&slag[2]==0)&&(rho[0]>0.000000)&&(veto_cat2_L1&&veto_cat2_H1)&&(veto_hveto_L1||veto_hveto_H1)
veto_not_vetoed : netcc[0]>0.000000&&!(lag[2]==0&&slag[2]==0)&&(rho[0]>0.000000)&&(veto_cat2_L1&&veto_cat2_H1)&&(!veto_hveto_L1&&!veto_hveto_H1)
Processing /home/waveburst/git/cWB/library/tools/cwb/macros/cwb_setcuts.C...
cwb_tcuts_tree : ((((veto_cat2_H1 && veto_cat2_L1 && !veto_hveto_H1 && !veto_hveto_L1)&&(norm>2.5))&&(netcc[0]>0.8 && netcc[2]>0.8))&&(frequency[0]>32 && frequency[0]<996))&&(!((((((veto_cat2_H1 && veto_cat2_L1 && !veto_hveto_H1 && !veto_hveto_L1)&&(norm>2.5))&&(netcc[0]>0.8 && netcc[2]>0.8))&&(frequency[0]>48 && frequency[0]<996))&&(Qveto[0]>0.3 && Qveto[1]>0.3 && Qveto[2]>0.3 && Qveto[3]>0.3))&&(!(bandwidth[0]<5 || (Lveto[1]<5 && Lveto[2]>0.8)))))
cwb_wcuts_tree : ((((veto_cat2_H1 && veto_cat2_L1 && !veto_hveto_H1 && !veto_hveto_L1)&&(norm>2.5))&&(netcc[0]>0.8 && netcc[2]>0.8))&&(frequency[0]>32 && frequency[0]<996))&&(!((((((veto_cat2_H1 && veto_cat2_L1 && !veto_hveto_H1 && !veto_hveto_L1)&&(norm>2.5))&&(netcc[0]>0.8 && netcc[2]>0.8))&&(frequency[0]>48 && frequency[0]<996))&&(Qveto[0]>0.3 && Qveto[1]>0.3 && Qveto[2]>0.3 && Qveto[3]>0.3))&&(!(bandwidth[0]<5 || (Lveto[1]<5 && Lveto[2]>0.8)))))
merge_O2_BKG_L1H1_LF_WP10_tutorial_root6_run1.M1.V_cat2LH_hvetoLH.C_bin1_cut.lst
Number of jobs in the merged lists : 3722
/home/waveburst/TUTORIALS/O2/BKG/O2_BKG_L1H1_LF_WP10_tutorial_root6_run1/merge/merge_O2_BKG_L1H1_LF_WP10_tutorial_root6_run1.M1.V_cat2LH_hvetoLH.C_bin1_cut.lst
Opening File : merge/wave_O2_BKG_L1H1_LF_WP10_tutorial_root6_run1.M1.V_cat2LH_hvetoLH.root
tree size : 16819
CWB::Toolbox::setCuts - selected entries : 3385/16819
CWB::Toolbox::setCuts - Create cuts file : merge/wave_O2_BKG_L1H1_LF_WP10_tutorial_root6_run1.M1.V_cat2LH_hvetoLH.C_bin1_cut.root
cwb_setcuts.C : Number of selected waveburst entries = 3385
live_O2_BKG_L1H1_LF_WP10_tutorial_root6_run1.M1.V_cat2LH_hvetoLH.C_bin1_cut.root
cd merge;ln -sf live_O2_BKG_L1H1_LF_WP10_tutorial_root6_run1.M1.V_cat2LH_hvetoLH.root live_O2_BKG_L1H1_LF_WP10_tutorial_root6_run1.M1.V_cat2LH_hvetoLH.C_bin1_cut.root
[CIT:waveburst@ldas-pcdev5 O2_BKG_L1H1_LF_WP10_tutorial_root6_run1]$ cwb_setcuts M1.V_cat2LH_hvetoLH "--tcuts bin2_cut --label bin2_cut"
Warning in <TApplication::GetOptions>: macro not found
root [0]
Processing /home/waveburst/git/cWB/library/tools/cwb/macros/cwb_rootlogon.C...
OS : Linux
ROOT/WAT/CWB initialization starting...
Set Include Paths...
Load Libraries...
Warning in <TUnixSystem::SetDisplay>: DISPLAY not set, setting it to 151.95.123.14:0.0
Loading LAL Suite : /home/waveburst/SOFT//LAL/lalsuite_lal-master230218 ...
Loading cvode : /home/waveburst/SOFT//CVODE/cvode-2.7.0/dist ...
Loading cfitsio : /home/waveburst/SOFT//CFITSIO/cfitsio-3.45 ...
Loading HEALPix : /home/waveburst/SOFT//HEALPix/Healpix_3.40 ...
Loading WAT : /home/waveburst/git/cWB/library/tools/install/lib/wavelet.so ...
Loading Frame : /home/waveburst/SOFT//FRAMELIB/libframe-8.30_root-6.14.00_icc ...
Loading eBBH : /home/waveburst/git/cWB/library/tools/install/lib/eBBH.so ...
Loading STFT : /home/waveburst/git/cWB/library/tools/install/lib/STFT.so ...
Loading gwat : /home/waveburst/git/cWB/library/tools/install/lib/gwat.so ...
Loading Toolbox : /home/waveburst/git/cWB/library/tools/install/lib/Toolbox.so ...
Loading History : /home/waveburst/git/cWB/library/tools/install/lib/History.so ...
Loading Bicoherence : /home/waveburst/git/cWB/library/tools/install/lib/Bicoherence.so ...
Loading Filter : /home/waveburst/git/cWB/library/tools/install/lib/Filter.so ...
Loading CWB FRAME : /home/waveburst/git/cWB/library/tools/install/lib/frame.so ...
Loading cwb : /home/waveburst/git/cWB/library/tools/install/lib/cwb.so ...
Loading wavegraph : /home/waveburst/git/cWB/library/tools/install/lib/wavegraph.so ...
cWB library path : /home/waveburst/git/cWB/library
cWB config path : /home/waveburst/CONFIGS/cWB-config-master.2.8
****************************************************************************
* *
* W E L C O M E to C W B *
* *
* WAT Version 6.2.6.0 (XIFO=4) *
* Branch master/ *
* Hash 4fbcbfa076e28b708291a754cbbe7981f2ef2210 *
* Short Hash 4fbcbfa0 *
* *
* LAL Version 6.18.0.1 *
* FRLIB Version 8.30 *
* *
* Based on ROOT 6.14/00 *
* *
* ROOT6 ENABLED *
* CP11 ENABLED *
* ICC ENABLED *
* *
* CONFIG Tag master.2.8 *
* Hash f774dfad6c5704c7dd4856c87a00e774284c643a *
* *
****************************************************************************
Date: Thu Jul 26 19:11:41 2018 +0200
Compiled on Linux x86_64 ldas-pcdev5
Sat Jul 28 19:57:45 UTC 2018
Processing /home/waveburst/git/cWB/library/tools/cwb/macros/cwb2G_parameters.C...
www_dir : /home/waveburst/public_html/reports
data_label : O2_BKG_L1H1_LF_WP10_tutorial_root6_run1
condor_log : /usr1/waveburst
nodename : ldas-pcdev5
nodedir : /local/waveburst
Processing ./config/user_parameters.C...
Processing /home/waveburst/git/cWB/library/tools/cwb/macros/cwb_eparameters.C...
Processing /home/waveburst/git/cWB/library/tools/cwb/macros/cwb_pparameters.C...
merge/wave_O2_BKG_L1H1_LF_WP10_tutorial_root6_run1.M1.V_cat2LH_hvetoLH.root
merge/live_O2_BKG_L1H1_LF_WP10_tutorial_root6_run1.M1.V_cat2LH_hvetoLH.root
Processing ./config/user_pparameters.C...
Processing /home/waveburst/git/cWB/library/tools/cwb/macros/cwb_epparameters.C...
veto_cat2 : veto_cat2_L1&&veto_cat2_H1
ch2 : netcc[0]>0.000000&&!(lag[2]==0&&slag[2]==0)&&(rho[0]>0.000000)&&(veto_cat2_L1&&veto_cat2_H1)
veto_vetoed : netcc[0]>0.000000&&!(lag[2]==0&&slag[2]==0)&&(rho[0]>0.000000)&&(veto_cat2_L1&&veto_cat2_H1)&&(veto_hveto_L1||veto_hveto_H1)
veto_not_vetoed : netcc[0]>0.000000&&!(lag[2]==0&&slag[2]==0)&&(rho[0]>0.000000)&&(veto_cat2_L1&&veto_cat2_H1)&&(!veto_hveto_L1&&!veto_hveto_H1)
Processing /home/waveburst/git/cWB/library/tools/cwb/macros/cwb_setcuts.C...
cwb_tcuts_tree : (((((veto_cat2_H1 && veto_cat2_L1 && !veto_hveto_H1 && !veto_hveto_L1)&&(norm>2.5))&&(netcc[0]>0.8 && netcc[2]>0.8))&&(frequency[0]>48 && frequency[0]<996))&&(Qveto[0]>0.3 && Qveto[1]>0.3 && Qveto[2]>0.3 && Qveto[3]>0.3))&&(!(bandwidth[0]<5 || (Lveto[1]<5 && Lveto[2]>0.8)))
cwb_wcuts_tree : (((((veto_cat2_H1 && veto_cat2_L1 && !veto_hveto_H1 && !veto_hveto_L1)&&(norm>2.5))&&(netcc[0]>0.8 && netcc[2]>0.8))&&(frequency[0]>48 && frequency[0]<996))&&(Qveto[0]>0.3 && Qveto[1]>0.3 && Qveto[2]>0.3 && Qveto[3]>0.3))&&(!(bandwidth[0]<5 || (Lveto[1]<5 && Lveto[2]>0.8)))
merge_O2_BKG_L1H1_LF_WP10_tutorial_root6_run1.M1.V_cat2LH_hvetoLH.C_bin2_cut.lst
Number of jobs in the merged lists : 3722
/home/waveburst/TUTORIALS/O2/BKG/O2_BKG_L1H1_LF_WP10_tutorial_root6_run1/merge/merge_O2_BKG_L1H1_LF_WP10_tutorial_root6_run1.M1.V_cat2LH_hvetoLH.C_bin2_cut.lst
Opening File : merge/wave_O2_BKG_L1H1_LF_WP10_tutorial_root6_run1.M1.V_cat2LH_hvetoLH.root
tree size : 16819
CWB::Toolbox::setCuts - selected entries : 3009/16819
CWB::Toolbox::setCuts - Create cuts file : merge/wave_O2_BKG_L1H1_LF_WP10_tutorial_root6_run1.M1.V_cat2LH_hvetoLH.C_bin2_cut.root
cwb_setcuts.C : Number of selected waveburst entries = 3009
live_O2_BKG_L1H1_LF_WP10_tutorial_root6_run1.M1.V_cat2LH_hvetoLH.C_bin2_cut.root
cd merge;ln -sf live_O2_BKG_L1H1_LF_WP10_tutorial_root6_run1.M1.V_cat2LH_hvetoLH.root live_O2_BKG_L1H1_LF_WP10_tutorial_root6_run1.M1.V_cat2LH_hvetoLH.C_bin2_cut.root
[CIT:waveburst@ldas-pcdev5 O2_BKG_L1H1_LF_WP10_tutorial_root6_run1]$
cwb_report create: Show/Hide Code
[CIT:waveburst@ldas-pcdev5 O2_BKG_L1H1_LF_WP10_tutorial_root6_run1]$ cwb_setcuts M1.V_cat2LH_hvetoLH "--tcuts bin1_cut --label bin1_cut"
Warning in <TApplication::GetOptions>: macro not found
root [0]
Processing /home/waveburst/git/cWB/library/tools/cwb/macros/cwb_rootlogon.C...
OS : Linux
ROOT/WAT/CWB initialization starting...
Set Include Paths...
Load Libraries...
Warning in <TUnixSystem::SetDisplay>: DISPLAY not set, setting it to 151.95.123.14:0.0
Loading LAL Suite : /home/waveburst/SOFT//LAL/lalsuite_lal-master230218 ...
Loading cvode : /home/waveburst/SOFT//CVODE/cvode-2.7.0/dist ...
Loading cfitsio : /home/waveburst/SOFT//CFITSIO/cfitsio-3.45 ...
Loading HEALPix : /home/waveburst/SOFT//HEALPix/Healpix_3.40 ...
Loading WAT : /home/waveburst/git/cWB/library/tools/install/lib/wavelet.so ...
Loading Frame : /home/waveburst/SOFT//FRAMELIB/libframe-8.30_root-6.14.00_icc ...
Loading eBBH : /home/waveburst/git/cWB/library/tools/install/lib/eBBH.so ...
Loading STFT : /home/waveburst/git/cWB/library/tools/install/lib/STFT.so ...
Loading gwat : /home/waveburst/git/cWB/library/tools/install/lib/gwat.so ...
Loading Toolbox : /home/waveburst/git/cWB/library/tools/install/lib/Toolbox.so ...
Loading History : /home/waveburst/git/cWB/library/tools/install/lib/History.so ...
Loading Bicoherence : /home/waveburst/git/cWB/library/tools/install/lib/Bicoherence.so ...
Loading Filter : /home/waveburst/git/cWB/library/tools/install/lib/Filter.so ...
Loading CWB FRAME : /home/waveburst/git/cWB/library/tools/install/lib/frame.so ...
Loading cwb : /home/waveburst/git/cWB/library/tools/install/lib/cwb.so ...
Loading wavegraph : /home/waveburst/git/cWB/library/tools/install/lib/wavegraph.so ...
cWB library path : /home/waveburst/git/cWB/library
cWB config path : /home/waveburst/CONFIGS/cWB-config-master.2.8
****************************************************************************
* *
* W E L C O M E to C W B *
* *
* WAT Version 6.2.6.0 (XIFO=4) *
* Branch master/ *
* Hash 4fbcbfa076e28b708291a754cbbe7981f2ef2210 *
* Short Hash 4fbcbfa0 *
* *
* LAL Version 6.18.0.1 *
* FRLIB Version 8.30 *
* *
* Based on ROOT 6.14/00 *
* *
* ROOT6 ENABLED *
* CP11 ENABLED *
* ICC ENABLED *
* *
* CONFIG Tag master.2.8 *
* Hash f774dfad6c5704c7dd4856c87a00e774284c643a *
* *
****************************************************************************
Date: Thu Jul 26 19:11:41 2018 +0200
Compiled on Linux x86_64 ldas-pcdev5
Sat Jul 28 19:57:45 UTC 2018
Processing /home/waveburst/git/cWB/library/tools/cwb/macros/cwb2G_parameters.C...
www_dir : /home/waveburst/public_html/reports
data_label : O2_BKG_L1H1_LF_WP10_tutorial_root6_run1
condor_log : /usr1/waveburst
nodename : ldas-pcdev5
nodedir : /local/waveburst
Processing ./config/user_parameters.C...
Processing /home/waveburst/git/cWB/library/tools/cwb/macros/cwb_eparameters.C...
Processing /home/waveburst/git/cWB/library/tools/cwb/macros/cwb_pparameters.C...
merge/wave_O2_BKG_L1H1_LF_WP10_tutorial_root6_run1.M1.V_cat2LH_hvetoLH.root
merge/live_O2_BKG_L1H1_LF_WP10_tutorial_root6_run1.M1.V_cat2LH_hvetoLH.root
Processing ./config/user_pparameters.C...
Processing /home/waveburst/git/cWB/library/tools/cwb/macros/cwb_epparameters.C...
veto_cat2 : veto_cat2_L1&&veto_cat2_H1
ch2 : netcc[0]>0.000000&&!(lag[2]==0&&slag[2]==0)&&(rho[0]>0.000000)&&(veto_cat2_L1&&veto_cat2_H1)
veto_vetoed : netcc[0]>0.000000&&!(lag[2]==0&&slag[2]==0)&&(rho[0]>0.000000)&&(veto_cat2_L1&&veto_cat2_H1)&&(veto_hveto_L1||veto_hveto_H1)
veto_not_vetoed : netcc[0]>0.000000&&!(lag[2]==0&&slag[2]==0)&&(rho[0]>0.000000)&&(veto_cat2_L1&&veto_cat2_H1)&&(!veto_hveto_L1&&!veto_hveto_H1)
Processing /home/waveburst/git/cWB/library/tools/cwb/macros/cwb_setcuts.C...
cwb_tcuts_tree : ((((veto_cat2_H1 && veto_cat2_L1 && !veto_hveto_H1 && !veto_hveto_L1)&&(norm>2.5))&&(netcc[0]>0.8 && netcc[2]>0.8))&&(frequency[0]>32 && frequency[0]<996))&&(!((((((veto_cat2_H1 && veto_cat2_L1 && !veto_hveto_H1 && !veto_hveto_L1)&&(norm>2.5))&&(netcc[0]>0.8 && netcc[2]>0.8))&&(frequency[0]>48 && frequency[0]<996))&&(Qveto[0]>0.3 && Qveto[1]>0.3 && Qveto[2]>0.3 && Qveto[3]>0.3))&&(!(bandwidth[0]<5 || (Lveto[1]<5 && Lveto[2]>0.8)))))
cwb_wcuts_tree : ((((veto_cat2_H1 && veto_cat2_L1 && !veto_hveto_H1 && !veto_hveto_L1)&&(norm>2.5))&&(netcc[0]>0.8 && netcc[2]>0.8))&&(frequency[0]>32 && frequency[0]<996))&&(!((((((veto_cat2_H1 && veto_cat2_L1 && !veto_hveto_H1 && !veto_hveto_L1)&&(norm>2.5))&&(netcc[0]>0.8 && netcc[2]>0.8))&&(frequency[0]>48 && frequency[0]<996))&&(Qveto[0]>0.3 && Qveto[1]>0.3 && Qveto[2]>0.3 && Qveto[3]>0.3))&&(!(bandwidth[0]<5 || (Lveto[1]<5 && Lveto[2]>0.8)))))
merge_O2_BKG_L1H1_LF_WP10_tutorial_root6_run1.M1.V_cat2LH_hvetoLH.C_bin1_cut.lst
Number of jobs in the merged lists : 3722
/home/waveburst/TUTORIALS/O2/BKG/O2_BKG_L1H1_LF_WP10_tutorial_root6_run1/merge/merge_O2_BKG_L1H1_LF_WP10_tutorial_root6_run1.M1.V_cat2LH_hvetoLH.C_bin1_cut.lst
Opening File : merge/wave_O2_BKG_L1H1_LF_WP10_tutorial_root6_run1.M1.V_cat2LH_hvetoLH.root
tree size : 16819
CWB::Toolbox::setCuts - selected entries : 3385/16819
CWB::Toolbox::setCuts - Create cuts file : merge/wave_O2_BKG_L1H1_LF_WP10_tutorial_root6_run1.M1.V_cat2LH_hvetoLH.C_bin1_cut.root
cwb_setcuts.C : Number of selected waveburst entries = 3385
live_O2_BKG_L1H1_LF_WP10_tutorial_root6_run1.M1.V_cat2LH_hvetoLH.C_bin1_cut.root
cd merge;ln -sf live_O2_BKG_L1H1_LF_WP10_tutorial_root6_run1.M1.V_cat2LH_hvetoLH.root live_O2_BKG_L1H1_LF_WP10_tutorial_root6_run1.M1.V_cat2LH_hvetoLH.C_bin1_cut.root
[CIT:waveburst@ldas-pcdev5 O2_BKG_L1H1_LF_WP10_tutorial_root6_run1]$
[CIT:waveburst@ldas-pcdev5 O2_BKG_L1H1_LF_WP10_tutorial_root6_run1]$ vi bkg_examples_cwb_setcuts_shell.log
[CIT:waveburst@ldas-pcdev5 O2_BKG_L1H1_LF_WP10_tutorial_root6_run1]$
[CIT:waveburst@ldas-pcdev5 O2_BKG_L1H1_LF_WP10_tutorial_root6_run1]$
[CIT:waveburst@ldas-pcdev5 O2_BKG_L1H1_LF_WP10_tutorial_root6_run1]$ vi bkg_examples_cwb_report_create_shell.log
[CIT:waveburst@ldas-pcdev5 O2_BKG_L1H1_LF_WP10_tutorial_root6_run1]$
[CIT:waveburst@ldas-pcdev5 O2_BKG_L1H1_LF_WP10_tutorial_root6_run1]$ cwb_report M1.V_cat2LH_hvetoLH.C_bin1_cut create
root [0]
Processing /home/waveburst/git/cWB/library/tools/cwb/macros/cwb_rootlogon.C...
OS : Linux
ROOT/WAT/CWB initialization starting...
Set Include Paths...
Load Libraries...
Warning in <TUnixSystem::SetDisplay>: DISPLAY not set, setting it to 151.95.123.14:0.0
Loading LAL Suite : /home/waveburst/SOFT//LAL/lalsuite_lal-master230218 ...
Loading cvode : /home/waveburst/SOFT//CVODE/cvode-2.7.0/dist ...
Loading cfitsio : /home/waveburst/SOFT//CFITSIO/cfitsio-3.45 ...
Loading HEALPix : /home/waveburst/SOFT//HEALPix/Healpix_3.40 ...
Loading WAT : /home/waveburst/git/cWB/library/tools/install/lib/wavelet.so ...
Loading Frame : /home/waveburst/SOFT//FRAMELIB/libframe-8.30_root-6.14.00_icc ...
Loading eBBH : /home/waveburst/git/cWB/library/tools/install/lib/eBBH.so ...
Loading STFT : /home/waveburst/git/cWB/library/tools/install/lib/STFT.so ...
Loading gwat : /home/waveburst/git/cWB/library/tools/install/lib/gwat.so ...
Loading Toolbox : /home/waveburst/git/cWB/library/tools/install/lib/Toolbox.so ...
Loading History : /home/waveburst/git/cWB/library/tools/install/lib/History.so ...
Loading Bicoherence : /home/waveburst/git/cWB/library/tools/install/lib/Bicoherence.so ...
Loading Filter : /home/waveburst/git/cWB/library/tools/install/lib/Filter.so ...
Loading CWB FRAME : /home/waveburst/git/cWB/library/tools/install/lib/frame.so ...
Loading cwb : /home/waveburst/git/cWB/library/tools/install/lib/cwb.so ...
Loading wavegraph : /home/waveburst/git/cWB/library/tools/install/lib/wavegraph.so ...
cWB library path : /home/waveburst/git/cWB/library
cWB config path : /home/waveburst/CONFIGS/cWB-config-master.2.8
****************************************************************************
* *
* W E L C O M E to C W B *
* *
* WAT Version 6.2.6.0 (XIFO=4) *
* Branch master/ *
* Hash 4fbcbfa076e28b708291a754cbbe7981f2ef2210 *
* Short Hash 4fbcbfa0 *
* *
* LAL Version 6.18.0.1 *
* FRLIB Version 8.30 *
* *
* Based on ROOT 6.14/00 *
* *
* ROOT6 ENABLED *
* CP11 ENABLED *
* ICC ENABLED *
* *
* CONFIG Tag master.2.8 *
* Hash f774dfad6c5704c7dd4856c87a00e774284c643a *
* *
****************************************************************************
Date: Thu Jul 26 19:11:41 2018 +0200
Compiled on Linux x86_64 ldas-pcdev5
Sat Jul 28 19:57:45 UTC 2018
Processing /home/waveburst/git/cWB/library/tools/cwb/macros/cwb2G_parameters.C...
www_dir : /home/waveburst/public_html/reports
data_label : O2_BKG_L1H1_LF_WP10_tutorial_root6_run1
condor_log : /usr1/waveburst
nodename : ldas-pcdev5
nodedir : /local/waveburst
Processing ./config/user_parameters.C...
Processing /home/waveburst/git/cWB/library/tools/cwb/macros/cwb_eparameters.C...
Processing /home/waveburst/git/cWB/library/tools/cwb/macros/cwb_getsim.C...
root [0]
Processing /home/waveburst/git/cWB/library/tools/cwb/macros/cwb_rootlogon.C...
OS : Linux
ROOT/WAT/CWB initialization starting...
Set Include Paths...
Load Libraries...
Warning in <TUnixSystem::SetDisplay>: DISPLAY not set, setting it to 151.95.123.14:0.0
Loading LAL Suite : /home/waveburst/SOFT//LAL/lalsuite_lal-master230218 ...
Loading cvode : /home/waveburst/SOFT//CVODE/cvode-2.7.0/dist ...
Loading cfitsio : /home/waveburst/SOFT//CFITSIO/cfitsio-3.45 ...
Loading HEALPix : /home/waveburst/SOFT//HEALPix/Healpix_3.40 ...
Loading WAT : /home/waveburst/git/cWB/library/tools/install/lib/wavelet.so ...
Loading Frame : /home/waveburst/SOFT//FRAMELIB/libframe-8.30_root-6.14.00_icc ...
Loading eBBH : /home/waveburst/git/cWB/library/tools/install/lib/eBBH.so ...
Loading STFT : /home/waveburst/git/cWB/library/tools/install/lib/STFT.so ...
Loading gwat : /home/waveburst/git/cWB/library/tools/install/lib/gwat.so ...
Loading Toolbox : /home/waveburst/git/cWB/library/tools/install/lib/Toolbox.so ...
Loading History : /home/waveburst/git/cWB/library/tools/install/lib/History.so ...
Loading Bicoherence : /home/waveburst/git/cWB/library/tools/install/lib/Bicoherence.so ...
Loading Filter : /home/waveburst/git/cWB/library/tools/install/lib/Filter.so ...
Loading CWB FRAME : /home/waveburst/git/cWB/library/tools/install/lib/frame.so ...
Loading cwb : /home/waveburst/git/cWB/library/tools/install/lib/cwb.so ...
Loading wavegraph : /home/waveburst/git/cWB/library/tools/install/lib/wavegraph.so ...
cWB library path : /home/waveburst/git/cWB/library
cWB config path : /home/waveburst/CONFIGS/cWB-config-master.2.8
****************************************************************************
* *
* W E L C O M E to C W B *
* *
* WAT Version 6.2.6.0 (XIFO=4) *
* Branch master/ *
* Hash 4fbcbfa076e28b708291a754cbbe7981f2ef2210 *
* Short Hash 4fbcbfa0 *
* *
* LAL Version 6.18.0.1 *
* FRLIB Version 8.30 *
* *
* Based on ROOT 6.14/00 *
* *
* ROOT6 ENABLED *
* CP11 ENABLED *
* ICC ENABLED *
* *
* CONFIG Tag master.2.8 *
* Hash f774dfad6c5704c7dd4856c87a00e774284c643a *
* *
****************************************************************************
Date: Thu Jul 26 19:11:41 2018 +0200
Compiled on Linux x86_64 ldas-pcdev5
Sat Jul 28 19:57:45 UTC 2018
Processing /home/waveburst/git/cWB/library/tools/cwb/macros/cwb2G_parameters.C...
www_dir : /home/waveburst/public_html/reports
data_label : O2_BKG_L1H1_LF_WP10_tutorial_root6_run1
condor_log : /usr1/waveburst
nodename : ldas-pcdev5
nodedir : /local/waveburst
Processing ./config/user_parameters.C...
Processing /home/waveburst/git/cWB/library/tools/cwb/macros/cwb_eparameters.C...
Processing /home/waveburst/git/cWB/library/tools/cwb/macros/cwb_getsim.C...
root [0]
Processing /home/waveburst/git/cWB/library/tools/cwb/macros/cwb_rootlogon.C...
OS : Linux
ROOT/WAT/CWB initialization starting...
Set Include Paths...
Load Libraries...
Warning in <TUnixSystem::SetDisplay>: DISPLAY not set, setting it to 151.95.123.14:0.0
Loading LAL Suite : /home/waveburst/SOFT//LAL/lalsuite_lal-master230218 ...
Loading cvode : /home/waveburst/SOFT//CVODE/cvode-2.7.0/dist ...
Loading cfitsio : /home/waveburst/SOFT//CFITSIO/cfitsio-3.45 ...
Loading HEALPix : /home/waveburst/SOFT//HEALPix/Healpix_3.40 ...
Loading WAT : /home/waveburst/git/cWB/library/tools/install/lib/wavelet.so ...
Loading Frame : /home/waveburst/SOFT//FRAMELIB/libframe-8.30_root-6.14.00_icc ...
Loading eBBH : /home/waveburst/git/cWB/library/tools/install/lib/eBBH.so ...
Loading STFT : /home/waveburst/git/cWB/library/tools/install/lib/STFT.so ...
Loading gwat : /home/waveburst/git/cWB/library/tools/install/lib/gwat.so ...
Loading Toolbox : /home/waveburst/git/cWB/library/tools/install/lib/Toolbox.so ...
Loading History : /home/waveburst/git/cWB/library/tools/install/lib/History.so ...
Loading Bicoherence : /home/waveburst/git/cWB/library/tools/install/lib/Bicoherence.so ...
Loading Filter : /home/waveburst/git/cWB/library/tools/install/lib/Filter.so ...
Loading CWB FRAME : /home/waveburst/git/cWB/library/tools/install/lib/frame.so ...
Loading cwb : /home/waveburst/git/cWB/library/tools/install/lib/cwb.so ...
Loading wavegraph : /home/waveburst/git/cWB/library/tools/install/lib/wavegraph.so ...
cWB library path : /home/waveburst/git/cWB/library
cWB config path : /home/waveburst/CONFIGS/cWB-config-master.2.8
****************************************************************************
* *
* W E L C O M E to C W B *
* *
* WAT Version 6.2.6.0 (XIFO=4) *
* Branch master/ *
* Hash 4fbcbfa076e28b708291a754cbbe7981f2ef2210 *
* Short Hash 4fbcbfa0 *
* *
* LAL Version 6.18.0.1 *
* FRLIB Version 8.30 *
* *
* Based on ROOT 6.14/00 *
* *
* ROOT6 ENABLED *
* CP11 ENABLED *
* ICC ENABLED *
* *
* CONFIG Tag master.2.8 *
* Hash f774dfad6c5704c7dd4856c87a00e774284c643a *
* *
****************************************************************************
Date: Thu Jul 26 19:11:41 2018 +0200
Compiled on Linux x86_64 ldas-pcdev5
Sat Jul 28 19:57:45 UTC 2018
Processing /home/waveburst/git/cWB/library/tools/cwb/macros/cwb2G_parameters.C...
www_dir : /home/waveburst/public_html/reports
data_label : O2_BKG_L1H1_LF_WP10_tutorial_root6_run1
condor_log : /usr1/waveburst
nodename : ldas-pcdev5
nodedir : /local/waveburst
Processing ./config/user_parameters.C...
Processing /home/waveburst/git/cWB/library/tools/cwb/macros/cwb_eparameters.C...
Processing /home/waveburst/git/cWB/library/tools/cwb/macros/cwb_getsim.C...
Warning in <TApplication::GetOptions>: macro not found
root [0]
Processing /home/waveburst/git/cWB/library/tools/cwb/macros/cwb_rootlogon.C...
OS : Linux
ROOT/WAT/CWB initialization starting...
Set Include Paths...
Load Libraries...
Warning in <TUnixSystem::SetDisplay>: DISPLAY not set, setting it to 151.95.123.14:0.0
Loading LAL Suite : /home/waveburst/SOFT//LAL/lalsuite_lal-master230218 ...
Loading cvode : /home/waveburst/SOFT//CVODE/cvode-2.7.0/dist ...
Loading cfitsio : /home/waveburst/SOFT//CFITSIO/cfitsio-3.45 ...
Loading HEALPix : /home/waveburst/SOFT//HEALPix/Healpix_3.40 ...
Loading WAT : /home/waveburst/git/cWB/library/tools/install/lib/wavelet.so ...
Loading Frame : /home/waveburst/SOFT//FRAMELIB/libframe-8.30_root-6.14.00_icc ...
Loading eBBH : /home/waveburst/git/cWB/library/tools/install/lib/eBBH.so ...
Loading STFT : /home/waveburst/git/cWB/library/tools/install/lib/STFT.so ...
Loading gwat : /home/waveburst/git/cWB/library/tools/install/lib/gwat.so ...
Loading Toolbox : /home/waveburst/git/cWB/library/tools/install/lib/Toolbox.so ...
Loading History : /home/waveburst/git/cWB/library/tools/install/lib/History.so ...
Loading Bicoherence : /home/waveburst/git/cWB/library/tools/install/lib/Bicoherence.so ...
Loading Filter : /home/waveburst/git/cWB/library/tools/install/lib/Filter.so ...
Loading CWB FRAME : /home/waveburst/git/cWB/library/tools/install/lib/frame.so ...
Loading cwb : /home/waveburst/git/cWB/library/tools/install/lib/cwb.so ...
Loading wavegraph : /home/waveburst/git/cWB/library/tools/install/lib/wavegraph.so ...
cWB library path : /home/waveburst/git/cWB/library
cWB config path : /home/waveburst/CONFIGS/cWB-config-master.2.8
****************************************************************************
* *
* W E L C O M E to C W B *
* *
* WAT Version 6.2.6.0 (XIFO=4) *
* Branch master/ *
* Hash 4fbcbfa076e28b708291a754cbbe7981f2ef2210 *
* Short Hash 4fbcbfa0 *
* *
* LAL Version 6.18.0.1 *
* FRLIB Version 8.30 *
* *
* Based on ROOT 6.14/00 *
* *
* ROOT6 ENABLED *
* CP11 ENABLED *
* ICC ENABLED *
* *
* CONFIG Tag master.2.8 *
* Hash f774dfad6c5704c7dd4856c87a00e774284c643a *
* *
****************************************************************************
Date: Thu Jul 26 19:11:41 2018 +0200
Compiled on Linux x86_64 ldas-pcdev5
Sat Jul 28 19:57:45 UTC 2018
Processing /home/waveburst/git/cWB/library/tools/cwb/macros/cwb2G_parameters.C...
www_dir : /home/waveburst/public_html/reports
data_label : O2_BKG_L1H1_LF_WP10_tutorial_root6_run1
condor_log : /usr1/waveburst
nodename : ldas-pcdev5
nodedir : /local/waveburst
Processing ./config/user_parameters.C...
Processing /home/waveburst/git/cWB/library/tools/cwb/macros/cwb_eparameters.C...
Processing /home/waveburst/git/cWB/library/tools/cwb/macros/cwb_pparameters.C...
merge/wave_O2_BKG_L1H1_LF_WP10_tutorial_root6_run1.M1.V_cat2LH_hvetoLH.C_bin1_cut.root
merge/live_O2_BKG_L1H1_LF_WP10_tutorial_root6_run1.M1.V_cat2LH_hvetoLH.C_bin1_cut.root
Processing ./config/user_pparameters.C...
Processing /home/waveburst/git/cWB/library/tools/cwb/macros/cwb_epparameters.C...
veto_cat2 : veto_cat2_L1&&veto_cat2_H1
ch2 : netcc[0]>0.000000&&!(lag[2]==0&&slag[2]==0)&&(rho[0]>0.000000)&&(veto_cat2_L1&&veto_cat2_H1)
veto_vetoed : netcc[0]>0.000000&&!(lag[2]==0&&slag[2]==0)&&(rho[0]>0.000000)&&(veto_cat2_L1&&veto_cat2_H1)&&(veto_hveto_L1||veto_hveto_H1)
veto_not_vetoed : netcc[0]>0.000000&&!(lag[2]==0&&slag[2]==0)&&(rho[0]>0.000000)&&(veto_cat2_L1&&veto_cat2_H1)&&(!veto_hveto_L1&&!veto_hveto_H1)
Processing /home/waveburst/git/cWB/library/tools/cwb/macros/cwb_report_prod_1.C...
cwb_report_prod_1.C starts...
mkdir -p report/postprod/M1.V_cat2LH_hvetoLH.C_bin1_cut.R_rMRA_cat2_hveto_i0cc00_i0rho0_freq16_1024/data
netplot starts...
Sat Aug 11 17:49:32 UTC 2018
Info in <TCanvas::Print>: eps file report/postprod/M1.V_cat2LH_hvetoLH.C_bin1_cut.R_rMRA_cat2_hveto_i0cc00_i0rho0_freq16_1024/data/ECOR_frequency.eps has been created
report/postprod/M1.V_cat2LH_hvetoLH.C_bin1_cut.R_rMRA_cat2_hveto_i0cc00_i0rho0_freq16_1024/data/ecor_frequency.eps
Info in <TCanvas::Print>: eps file report/postprod/M1.V_cat2LH_hvetoLH.C_bin1_cut.R_rMRA_cat2_hveto_i0cc00_i0rho0_freq16_1024/data/ecor_frequency.eps has been created
Info in <TCanvas::Print>: eps file report/postprod/M1.V_cat2LH_hvetoLH.C_bin1_cut.R_rMRA_cat2_hveto_i0cc00_i0rho0_freq16_1024/data/rho_frequency.eps has been created
Info in <TCanvas::Print>: eps file report/postprod/M1.V_cat2LH_hvetoLH.C_bin1_cut.R_rMRA_cat2_hveto_i0cc00_i0rho0_freq16_1024/data/rho_time.eps has been created
Warning in <TApplication::GetOptions>: macro not found
root [0]
Processing /home/waveburst/git/cWB/library/tools/cwb/macros/cwb_rootlogon.C...
OS : Linux
ROOT/WAT/CWB initialization starting...
Set Include Paths...
Load Libraries...
Warning in <TUnixSystem::SetDisplay>: DISPLAY not set, setting it to 151.95.123.14:0.0
Loading LAL Suite : /home/waveburst/SOFT//LAL/lalsuite_lal-master230218 ...
Loading cvode : /home/waveburst/SOFT//CVODE/cvode-2.7.0/dist ...
Loading cfitsio : /home/waveburst/SOFT//CFITSIO/cfitsio-3.45 ...
Loading HEALPix : /home/waveburst/SOFT//HEALPix/Healpix_3.40 ...
Loading WAT : /home/waveburst/git/cWB/library/tools/install/lib/wavelet.so ...
Loading Frame : /home/waveburst/SOFT//FRAMELIB/libframe-8.30_root-6.14.00_icc ...
Loading eBBH : /home/waveburst/git/cWB/library/tools/install/lib/eBBH.so ...
Loading STFT : /home/waveburst/git/cWB/library/tools/install/lib/STFT.so ...
Loading gwat : /home/waveburst/git/cWB/library/tools/install/lib/gwat.so ...
Loading Toolbox : /home/waveburst/git/cWB/library/tools/install/lib/Toolbox.so ...
Loading History : /home/waveburst/git/cWB/library/tools/install/lib/History.so ...
Loading Bicoherence : /home/waveburst/git/cWB/library/tools/install/lib/Bicoherence.so ...
Loading Filter : /home/waveburst/git/cWB/library/tools/install/lib/Filter.so ...
Loading CWB FRAME : /home/waveburst/git/cWB/library/tools/install/lib/frame.so ...
Loading cwb : /home/waveburst/git/cWB/library/tools/install/lib/cwb.so ...
Loading wavegraph : /home/waveburst/git/cWB/library/tools/install/lib/wavegraph.so ...
cWB library path : /home/waveburst/git/cWB/library
cWB config path : /home/waveburst/CONFIGS/cWB-config-master.2.8
****************************************************************************
* *
* W E L C O M E to C W B *
* *
* WAT Version 6.2.6.0 (XIFO=4) *
* Branch master/ *
* Hash 4fbcbfa076e28b708291a754cbbe7981f2ef2210 *
* Short Hash 4fbcbfa0 *
* *
* LAL Version 6.18.0.1 *
* FRLIB Version 8.30 *
* *
* Based on ROOT 6.14/00 *
* *
* ROOT6 ENABLED *
* CP11 ENABLED *
* ICC ENABLED *
* *
* CONFIG Tag master.2.8 *
* Hash f774dfad6c5704c7dd4856c87a00e774284c643a *
* *
****************************************************************************
Date: Thu Jul 26 19:11:41 2018 +0200
Compiled on Linux x86_64 ldas-pcdev5
Sat Jul 28 19:57:45 UTC 2018
Processing /home/waveburst/git/cWB/library/tools/cwb/macros/cwb2G_parameters.C...
www_dir : /home/waveburst/public_html/reports
data_label : O2_BKG_L1H1_LF_WP10_tutorial_root6_run1
condor_log : /usr1/waveburst
nodename : ldas-pcdev5
nodedir : /local/waveburst
Processing ./config/user_parameters.C...
Processing /home/waveburst/git/cWB/library/tools/cwb/macros/cwb_eparameters.C...
Processing /home/waveburst/git/cWB/library/tools/cwb/macros/cwb_pparameters.C...
merge/wave_O2_BKG_L1H1_LF_WP10_tutorial_root6_run1.M1.V_cat2LH_hvetoLH.C_bin1_cut.root
merge/live_O2_BKG_L1H1_LF_WP10_tutorial_root6_run1.M1.V_cat2LH_hvetoLH.C_bin1_cut.root
Processing ./config/user_pparameters.C...
Processing /home/waveburst/git/cWB/library/tools/cwb/macros/cwb_epparameters.C...
veto_cat2 : veto_cat2_L1&&veto_cat2_H1
ch2 : netcc[0]>0.000000&&!(lag[2]==0&&slag[2]==0)&&(rho[0]>0.000000)&&(veto_cat2_L1&&veto_cat2_H1)
veto_vetoed : netcc[0]>0.000000&&!(lag[2]==0&&slag[2]==0)&&(rho[0]>0.000000)&&(veto_cat2_L1&&veto_cat2_H1)&&(veto_hveto_L1||veto_hveto_H1)
veto_not_vetoed : netcc[0]>0.000000&&!(lag[2]==0&&slag[2]==0)&&(rho[0]>0.000000)&&(veto_cat2_L1&&veto_cat2_H1)&&(!veto_hveto_L1&&!veto_hveto_H1)
Processing /home/waveburst/git/cWB/library/tools/cwb/macros/cwb_report_prod_2.C...
cwb_report_prod_2.C starts...
XDQF[0] veto_cat2_L1
XDQF[1] veto_cat2_H1
XDQF[2] veto_hveto_L1
XDQF[3] veto_hveto_H1
Sat Aug 11 17:49:39 UTC 2018
Start CWB::Toolbox::getLiveTime : be patient, it takes a while ...
0% - 10% - 20% - 30% - 40% - 50% - 60% - 70% - 80% - 90% - 100%
live time: zero lags = 448800.0
total live time: non-zero lags = 1317139200.0
End CWB::Toolbox::getLiveTime : Sat Aug 11 17:49:41 UTC 2018
total events: 3385
data start GPS: 1167521414.00000
data stop GPS: 1169110321.00000
cwb_report_prod_2.C : Start event loop ...
cwb_report_prod_2.C : loop 1 - processed: 0/3385
cwb_report_prod_2.C : loop 2 - processed: 0/3385
Events vetoed by veto_cat2_L1 - 0
Events vetoed by veto_cat2_H1 - 0
Events vetoed by veto_hveto_L1 - 0
Events vetoed by veto_hveto_H1 - 0
report/postprod/M1.V_cat2LH_hvetoLH.C_bin1_cut.R_rMRA_cat2_hveto_i0cc00_i0rho0_freq16_1024/data/sigma.txt
report/postprod/M1.V_cat2LH_hvetoLH.C_bin1_cut.R_rMRA_cat2_hveto_i0cc00_i0rho0_freq16_1024/data/sigma_veto.txt
Total Number of bkg coinc.: 3383 total Live Time: 1.31535e+09 nb = 2.57193e-06
NCoinc = 0 Found = 923 Expected = 938.314 Chi2_bin0= 0.249927
NCoinc = 1 Found = 1077 Expected = 1073.22 Chi2_bin1= 0.0132837
NCoinc = 2 Found = 625 Expected = 613.766 Chi2_bin2= 0.205618
NCoinc = 3 Found = 240 Expected = 234.004 Chi2_bin3= 0.153618
NCoinc = 4 Found = 67 Expected = 66.9124 Chi2_bin4= 0.000114756
NCoinc = 5 Found = 10 Expected = 15.3066 Chi2_bin5= 1.83973
myChiSquare :2.46229
NDF : 5
myPlevel :0.782163
-1 -2147483647
FCN=3.42312 FROM MIGRAD STATUS=CONVERGED 14 CALLS 15 TOTAL
EDM=1.10216e-11 STRATEGY= 1 ERROR MATRIX ACCURATE
EXT PARAMETER STEP FIRST
NO. NAME VALUE ERROR SIZE DERIVATIVE
1 p0 2.94500e+03 fixed
2 p1 1.14590e+00 1.93150e-02 1.98349e-05 -2.43076e-04
Mean : 1.1459
Norm : 2945
ChiSquare : 3.42312
NDF : 4
Plevel : 0.489664
Info in <TCanvas::Print>: png file report/postprod/M1.V_cat2LH_hvetoLH.C_bin1_cut.R_rMRA_cat2_hveto_i0cc00_i0rho0_freq16_1024/data/Lag_PoissonFit.png has been created
Info in <TCanvas::Print>: eps file report/postprod/M1.V_cat2LH_hvetoLH.C_bin1_cut.R_rMRA_cat2_hveto_i0cc00_i0rho0_freq16_1024/data/penalty_vED.eps has been created
Info in <TCanvas::Print>: eps file report/postprod/M1.V_cat2LH_hvetoLH.C_bin1_cut.R_rMRA_cat2_hveto_i0cc00_i0rho0_freq16_1024/data/rho_L.eps has been created
Info in <TCanvas::Print>: eps file report/postprod/M1.V_cat2LH_hvetoLH.C_bin1_cut.R_rMRA_cat2_hveto_i0cc00_i0rho0_freq16_1024/data/penalty_ed.eps has been created
Info in <TCanvas::Print>: eps file report/postprod/M1.V_cat2LH_hvetoLH.C_bin1_cut.R_rMRA_cat2_hveto_i0cc00_i0rho0_freq16_1024/data/penalty_cc.eps has been created
Info in <TCanvas::Print>: eps file report/postprod/M1.V_cat2LH_hvetoLH.C_bin1_cut.R_rMRA_cat2_hveto_i0cc00_i0rho0_freq16_1024/data/fraction_time.eps has been created
Info in <TCanvas::Print>: eps file report/postprod/M1.V_cat2LH_hvetoLH.C_bin1_cut.R_rMRA_cat2_hveto_i0cc00_i0rho0_freq16_1024/data/fraction_frequency.eps has been created
Info in <TCanvas::Print>: eps file report/postprod/M1.V_cat2LH_hvetoLH.C_bin1_cut.R_rMRA_cat2_hveto_i0cc00_i0rho0_freq16_1024/data/frequency.eps has been created
Info in <TCanvas::Print>: eps file report/postprod/M1.V_cat2LH_hvetoLH.C_bin1_cut.R_rMRA_cat2_hveto_i0cc00_i0rho0_freq16_1024/data/rate_time.eps has been created
Info in <TCanvas::Print>: eps file report/postprod/M1.V_cat2LH_hvetoLH.C_bin1_cut.R_rMRA_cat2_hveto_i0cc00_i0rho0_freq16_1024/data/rate_lag.eps has been created
Info in <TCanvas::Print>: eps file report/postprod/M1.V_cat2LH_hvetoLH.C_bin1_cut.R_rMRA_cat2_hveto_i0cc00_i0rho0_freq16_1024/data/live_lag.eps has been created
Info in <TCanvas::Print>: eps file report/postprod/M1.V_cat2LH_hvetoLH.C_bin1_cut.R_rMRA_cat2_hveto_i0cc00_i0rho0_freq16_1024/data/rate_threshold.eps has been created
Info in <TCanvas::Print>: eps file report/postprod/M1.V_cat2LH_hvetoLH.C_bin1_cut.R_rMRA_cat2_hveto_i0cc00_i0rho0_freq16_1024/data/rate_threshold_veto.eps has been created
Info in <TCanvas::Print>: eps file report/postprod/M1.V_cat2LH_hvetoLH.C_bin1_cut.R_rMRA_cat2_hveto_i0cc00_i0rho0_freq16_1024/data/rate_threshold_veto_compare.eps has been created
Info in <TCanvas::Print>: eps file report/postprod/M1.V_cat2LH_hvetoLH.C_bin1_cut.R_rMRA_cat2_hveto_i0cc00_i0rho0_freq16_1024/data/density.eps has been created
Info in <TCanvas::Print>: eps file report/postprod/M1.V_cat2LH_hvetoLH.C_bin1_cut.R_rMRA_cat2_hveto_i0cc00_i0rho0_freq16_1024/data/penalty.eps has been created
Info in <TCanvas::Print>: eps file report/postprod/M1.V_cat2LH_hvetoLH.C_bin1_cut.R_rMRA_cat2_hveto_i0cc00_i0rho0_freq16_1024/data/vED.eps has been created
Info in <TCanvas::Print>: eps file report/postprod/M1.V_cat2LH_hvetoLH.C_bin1_cut.R_rMRA_cat2_hveto_i0cc00_i0rho0_freq16_1024/data/netcor.eps has been created
Info in <TCanvas::Print>: eps file report/postprod/M1.V_cat2LH_hvetoLH.C_bin1_cut.R_rMRA_cat2_hveto_i0cc00_i0rho0_freq16_1024/data/ecor.eps has been created
Info in <TCanvas::Print>: eps file report/postprod/M1.V_cat2LH_hvetoLH.C_bin1_cut.R_rMRA_cat2_hveto_i0cc00_i0rho0_freq16_1024/data/rho.eps has been created
Info in <TCanvas::Print>: eps file report/postprod/M1.V_cat2LH_hvetoLH.C_bin1_cut.R_rMRA_cat2_hveto_i0cc00_i0rho0_freq16_1024/data/ECOR.eps has been created
Info in <TCanvas::Print>: eps file report/postprod/M1.V_cat2LH_hvetoLH.C_bin1_cut.R_rMRA_cat2_hveto_i0cc00_i0rho0_freq16_1024/data/likelihood.eps has been created
Info in <TCanvas::Print>: eps file report/postprod/M1.V_cat2LH_hvetoLH.C_bin1_cut.R_rMRA_cat2_hveto_i0cc00_i0rho0_freq16_1024/data/Mchirp.eps has been created
Info in <TCanvas::Print>: eps file report/postprod/M1.V_cat2LH_hvetoLH.C_bin1_cut.R_rMRA_cat2_hveto_i0cc00_i0rho0_freq16_1024/data/McErr.eps has been created
Info in <TCanvas::Print>: eps file report/postprod/M1.V_cat2LH_hvetoLH.C_bin1_cut.R_rMRA_cat2_hveto_i0cc00_i0rho0_freq16_1024/data/rho_subnet.eps has been created
Info in <TCanvas::Print>: eps file report/postprod/M1.V_cat2LH_hvetoLH.C_bin1_cut.R_rMRA_cat2_hveto_i0cc00_i0rho0_freq16_1024/data/rho_vED.eps has been created
Info in <TCanvas::Print>: eps file report/postprod/M1.V_cat2LH_hvetoLH.C_bin1_cut.R_rMRA_cat2_hveto_i0cc00_i0rho0_freq16_1024/data/rho_pf.eps has been created
Info in <TCanvas::Print>: eps file report/postprod/M1.V_cat2LH_hvetoLH.C_bin1_cut.R_rMRA_cat2_hveto_i0cc00_i0rho0_freq16_1024/data/rho_cc.eps has been created
Info in <TCanvas::Print>: eps file report/postprod/M1.V_cat2LH_hvetoLH.C_bin1_cut.R_rMRA_cat2_hveto_i0cc00_i0rho0_freq16_1024/data/ECOR_cc.eps has been created
Info in <TCanvas::Print>: eps file report/postprod/M1.V_cat2LH_hvetoLH.C_bin1_cut.R_rMRA_cat2_hveto_i0cc00_i0rho0_freq16_1024/data/ecor_cc.eps has been created
Info in <TCanvas::Print>: eps file report/postprod/M1.V_cat2LH_hvetoLH.C_bin1_cut.R_rMRA_cat2_hveto_i0cc00_i0rho0_freq16_1024/data/rho_mchirp.eps has been created
422145
Info in <TCanvas::Print>: eps file report/postprod/M1.V_cat2LH_hvetoLH.C_bin1_cut.R_rMRA_cat2_hveto_i0cc00_i0rho0_freq16_1024/data/phi_vs_theta_online.eps has been created
Info in <TCanvas::Print>: eps file report/postprod/M1.V_cat2LH_hvetoLH.C_bin1_cut.R_rMRA_cat2_hveto_i0cc00_i0rho0_freq16_1024/data/ra_vs_dec_online.eps has been created
Warning in <TApplication::GetOptions>: macro not found
root [0]
Processing /home/waveburst/git/cWB/library/tools/cwb/macros/cwb_rootlogon.C...
OS : Linux
ROOT/WAT/CWB initialization starting...
Set Include Paths...
Load Libraries...
Warning in <TUnixSystem::SetDisplay>: DISPLAY not set, setting it to 151.95.123.14:0.0
Loading LAL Suite : /home/waveburst/SOFT//LAL/lalsuite_lal-master230218 ...
Loading cvode : /home/waveburst/SOFT//CVODE/cvode-2.7.0/dist ...
Loading cfitsio : /home/waveburst/SOFT//CFITSIO/cfitsio-3.45 ...
Loading HEALPix : /home/waveburst/SOFT//HEALPix/Healpix_3.40 ...
Loading WAT : /home/waveburst/git/cWB/library/tools/install/lib/wavelet.so ...
Loading Frame : /home/waveburst/SOFT//FRAMELIB/libframe-8.30_root-6.14.00_icc ...
Loading eBBH : /home/waveburst/git/cWB/library/tools/install/lib/eBBH.so ...
Loading STFT : /home/waveburst/git/cWB/library/tools/install/lib/STFT.so ...
Loading gwat : /home/waveburst/git/cWB/library/tools/install/lib/gwat.so ...
Loading Toolbox : /home/waveburst/git/cWB/library/tools/install/lib/Toolbox.so ...
Loading History : /home/waveburst/git/cWB/library/tools/install/lib/History.so ...
Loading Bicoherence : /home/waveburst/git/cWB/library/tools/install/lib/Bicoherence.so ...
Loading Filter : /home/waveburst/git/cWB/library/tools/install/lib/Filter.so ...
Loading CWB FRAME : /home/waveburst/git/cWB/library/tools/install/lib/frame.so ...
Loading cwb : /home/waveburst/git/cWB/library/tools/install/lib/cwb.so ...
Loading wavegraph : /home/waveburst/git/cWB/library/tools/install/lib/wavegraph.so ...
cWB library path : /home/waveburst/git/cWB/library
cWB config path : /home/waveburst/CONFIGS/cWB-config-master.2.8
****************************************************************************
* *
* W E L C O M E to C W B *
* *
* WAT Version 6.2.6.0 (XIFO=4) *
* Branch master/ *
* Hash 4fbcbfa076e28b708291a754cbbe7981f2ef2210 *
* Short Hash 4fbcbfa0 *
* *
* LAL Version 6.18.0.1 *
* FRLIB Version 8.30 *
* *
* Based on ROOT 6.14/00 *
* *
* ROOT6 ENABLED *
* CP11 ENABLED *
* ICC ENABLED *
* *
* CONFIG Tag master.2.8 *
* Hash f774dfad6c5704c7dd4856c87a00e774284c643a *
* *
****************************************************************************
Date: Thu Jul 26 19:11:41 2018 +0200
Compiled on Linux x86_64 ldas-pcdev5
Sat Jul 28 19:57:45 UTC 2018
Processing /home/waveburst/git/cWB/library/tools/cwb/macros/cwb2G_parameters.C...
www_dir : /home/waveburst/public_html/reports
data_label : O2_BKG_L1H1_LF_WP10_tutorial_root6_run1
condor_log : /usr1/waveburst
nodename : ldas-pcdev5
nodedir : /local/waveburst
Processing ./config/user_parameters.C...
Processing /home/waveburst/git/cWB/library/tools/cwb/macros/cwb_eparameters.C...
Processing /home/waveburst/git/cWB/library/tools/cwb/macros/cwb_pparameters.C...
merge/wave_O2_BKG_L1H1_LF_WP10_tutorial_root6_run1.M1.V_cat2LH_hvetoLH.C_bin1_cut.root
merge/live_O2_BKG_L1H1_LF_WP10_tutorial_root6_run1.M1.V_cat2LH_hvetoLH.C_bin1_cut.root
Processing ./config/user_pparameters.C...
Processing /home/waveburst/git/cWB/library/tools/cwb/macros/cwb_epparameters.C...
veto_cat2 : veto_cat2_L1&&veto_cat2_H1
ch2 : netcc[0]>0.000000&&!(lag[2]==0&&slag[2]==0)&&(rho[0]>0.000000)&&(veto_cat2_L1&&veto_cat2_H1)
veto_vetoed : netcc[0]>0.000000&&!(lag[2]==0&&slag[2]==0)&&(rho[0]>0.000000)&&(veto_cat2_L1&&veto_cat2_H1)&&(veto_hveto_L1||veto_hveto_H1)
veto_not_vetoed : netcc[0]>0.000000&&!(lag[2]==0&&slag[2]==0)&&(rho[0]>0.000000)&&(veto_cat2_L1&&veto_cat2_H1)&&(!veto_hveto_L1&&!veto_hveto_H1)
Processing /home/waveburst/git/cWB/library/tools/cwb/macros/cwb_mkhtml_index.C...
make index html file : report/postprod/M1.V_cat2LH_hvetoLH.C_bin1_cut.R_rMRA_cat2_hveto_i0cc00_i0rho0_freq16_1024/index.html
Warning in <TApplication::GetOptions>: macro not found
root [0]
Processing /home/waveburst/git/cWB/library/tools/cwb/macros/cwb_rootlogon.C...
OS : Linux
ROOT/WAT/CWB initialization starting...
Set Include Paths...
Load Libraries...
Warning in <TUnixSystem::SetDisplay>: DISPLAY not set, setting it to 151.95.123.14:0.0
Loading LAL Suite : /home/waveburst/SOFT//LAL/lalsuite_lal-master230218 ...
Loading cvode : /home/waveburst/SOFT//CVODE/cvode-2.7.0/dist ...
Loading cfitsio : /home/waveburst/SOFT//CFITSIO/cfitsio-3.45 ...
Loading HEALPix : /home/waveburst/SOFT//HEALPix/Healpix_3.40 ...
Loading WAT : /home/waveburst/git/cWB/library/tools/install/lib/wavelet.so ...
Loading Frame : /home/waveburst/SOFT//FRAMELIB/libframe-8.30_root-6.14.00_icc ...
Loading eBBH : /home/waveburst/git/cWB/library/tools/install/lib/eBBH.so ...
Loading STFT : /home/waveburst/git/cWB/library/tools/install/lib/STFT.so ...
Loading gwat : /home/waveburst/git/cWB/library/tools/install/lib/gwat.so ...
Loading Toolbox : /home/waveburst/git/cWB/library/tools/install/lib/Toolbox.so ...
Loading History : /home/waveburst/git/cWB/library/tools/install/lib/History.so ...
Loading Bicoherence : /home/waveburst/git/cWB/library/tools/install/lib/Bicoherence.so ...
Loading Filter : /home/waveburst/git/cWB/library/tools/install/lib/Filter.so ...
Loading CWB FRAME : /home/waveburst/git/cWB/library/tools/install/lib/frame.so ...
Loading cwb : /home/waveburst/git/cWB/library/tools/install/lib/cwb.so ...
Loading wavegraph : /home/waveburst/git/cWB/library/tools/install/lib/wavegraph.so ...
cWB library path : /home/waveburst/git/cWB/library
cWB config path : /home/waveburst/CONFIGS/cWB-config-master.2.8
****************************************************************************
* *
* W E L C O M E to C W B *
* *
* WAT Version 6.2.6.0 (XIFO=4) *
* Branch master/ *
* Hash 4fbcbfa076e28b708291a754cbbe7981f2ef2210 *
* Short Hash 4fbcbfa0 *
* *
* LAL Version 6.18.0.1 *
* FRLIB Version 8.30 *
* *
* Based on ROOT 6.14/00 *
* *
* ROOT6 ENABLED *
* CP11 ENABLED *
* ICC ENABLED *
* *
* CONFIG Tag master.2.8 *
* Hash f774dfad6c5704c7dd4856c87a00e774284c643a *
* *
****************************************************************************
Date: Thu Jul 26 19:11:41 2018 +0200
Compiled on Linux x86_64 ldas-pcdev5
Sat Jul 28 19:57:45 UTC 2018
Processing /home/waveburst/git/cWB/library/tools/cwb/macros/cwb2G_parameters.C...
www_dir : /home/waveburst/public_html/reports
data_label : O2_BKG_L1H1_LF_WP10_tutorial_root6_run1
condor_log : /usr1/waveburst
nodename : ldas-pcdev5
nodedir : /local/waveburst
Processing ./config/user_parameters.C...
Processing /home/waveburst/git/cWB/library/tools/cwb/macros/cwb_eparameters.C...
Processing /home/waveburst/git/cWB/library/tools/cwb/macros/cwb_pparameters.C...
merge/wave_O2_BKG_L1H1_LF_WP10_tutorial_root6_run1.M1.V_cat2LH_hvetoLH.C_bin1_cut.root
merge/live_O2_BKG_L1H1_LF_WP10_tutorial_root6_run1.M1.V_cat2LH_hvetoLH.C_bin1_cut.root
Processing ./config/user_pparameters.C...
Processing /home/waveburst/git/cWB/library/tools/cwb/macros/cwb_epparameters.C...
veto_cat2 : veto_cat2_L1&&veto_cat2_H1
ch2 : netcc[0]>0.000000&&!(lag[2]==0&&slag[2]==0)&&(rho[0]>0.000000)&&(veto_cat2_L1&&veto_cat2_H1)
veto_vetoed : netcc[0]>0.000000&&!(lag[2]==0&&slag[2]==0)&&(rho[0]>0.000000)&&(veto_cat2_L1&&veto_cat2_H1)&&(veto_hveto_L1||veto_hveto_H1)
veto_not_vetoed : netcc[0]>0.000000&&!(lag[2]==0&&slag[2]==0)&&(rho[0]>0.000000)&&(veto_cat2_L1&&veto_cat2_H1)&&(!veto_hveto_L1&&!veto_hveto_H1)
Processing /home/waveburst/git/cWB/library/tools/cwb/macros/cwb_mkhtml_header.C...
Number of jobs in the merged lists : 3722
Number of jobs/factors in the condor lists : 3722/1
Convert: report/postprod/M1.V_cat2LH_hvetoLH.C_bin1_cut.R_rMRA_cat2_hveto_i0cc00_i0rho0_freq16_1024/data/cwb2G_parameters.C.html
Convert: report/postprod/M1.V_cat2LH_hvetoLH.C_bin1_cut.R_rMRA_cat2_hveto_i0cc00_i0rho0_freq16_1024/data/user_parameters.C.html
Convert: report/postprod/M1.V_cat2LH_hvetoLH.C_bin1_cut.R_rMRA_cat2_hveto_i0cc00_i0rho0_freq16_1024/data/cwb_pparameters.C.html
Convert: report/postprod/M1.V_cat2LH_hvetoLH.C_bin1_cut.R_rMRA_cat2_hveto_i0cc00_i0rho0_freq16_1024/data/user_pparameters.C.html
Convert: report/postprod/M1.V_cat2LH_hvetoLH.C_bin1_cut.R_rMRA_cat2_hveto_i0cc00_i0rho0_freq16_1024/data/CWB_Plugin.C.html
make header file : report/postprod/M1.V_cat2LH_hvetoLH.C_bin1_cut.R_rMRA_cat2_hveto_i0cc00_i0rho0_freq16_1024/header.html
Warning in <TApplication::GetOptions>: macro not found
root [0]
Processing /home/waveburst/git/cWB/library/tools/cwb/macros/cwb_rootlogon.C...
OS : Linux
ROOT/WAT/CWB initialization starting...
Set Include Paths...
Load Libraries...
Warning in <TUnixSystem::SetDisplay>: DISPLAY not set, setting it to 151.95.123.14:0.0
Loading LAL Suite : /home/waveburst/SOFT//LAL/lalsuite_lal-master230218 ...
Loading cvode : /home/waveburst/SOFT//CVODE/cvode-2.7.0/dist ...
Loading cfitsio : /home/waveburst/SOFT//CFITSIO/cfitsio-3.45 ...
Loading HEALPix : /home/waveburst/SOFT//HEALPix/Healpix_3.40 ...
Loading WAT : /home/waveburst/git/cWB/library/tools/install/lib/wavelet.so ...
Loading Frame : /home/waveburst/SOFT//FRAMELIB/libframe-8.30_root-6.14.00_icc ...
Loading eBBH : /home/waveburst/git/cWB/library/tools/install/lib/eBBH.so ...
Loading STFT : /home/waveburst/git/cWB/library/tools/install/lib/STFT.so ...
Loading gwat : /home/waveburst/git/cWB/library/tools/install/lib/gwat.so ...
Loading Toolbox : /home/waveburst/git/cWB/library/tools/install/lib/Toolbox.so ...
Loading History : /home/waveburst/git/cWB/library/tools/install/lib/History.so ...
Loading Bicoherence : /home/waveburst/git/cWB/library/tools/install/lib/Bicoherence.so ...
Loading Filter : /home/waveburst/git/cWB/library/tools/install/lib/Filter.so ...
Loading CWB FRAME : /home/waveburst/git/cWB/library/tools/install/lib/frame.so ...
Loading cwb : /home/waveburst/git/cWB/library/tools/install/lib/cwb.so ...
Loading wavegraph : /home/waveburst/git/cWB/library/tools/install/lib/wavegraph.so ...
cWB library path : /home/waveburst/git/cWB/library
cWB config path : /home/waveburst/CONFIGS/cWB-config-master.2.8
****************************************************************************
* *
* W E L C O M E to C W B *
* *
* WAT Version 6.2.6.0 (XIFO=4) *
* Branch master/ *
* Hash 4fbcbfa076e28b708291a754cbbe7981f2ef2210 *
* Short Hash 4fbcbfa0 *
* *
* LAL Version 6.18.0.1 *
* FRLIB Version 8.30 *
* *
* Based on ROOT 6.14/00 *
* *
* ROOT6 ENABLED *
* CP11 ENABLED *
* ICC ENABLED *
* *
* CONFIG Tag master.2.8 *
* Hash f774dfad6c5704c7dd4856c87a00e774284c643a *
* *
****************************************************************************
Date: Thu Jul 26 19:11:41 2018 +0200
Compiled on Linux x86_64 ldas-pcdev5
Sat Jul 28 19:57:45 UTC 2018
Processing /home/waveburst/git/cWB/library/tools/cwb/macros/cwb2G_parameters.C...
www_dir : /home/waveburst/public_html/reports
data_label : O2_BKG_L1H1_LF_WP10_tutorial_root6_run1
condor_log : /usr1/waveburst
nodename : ldas-pcdev5
nodedir : /local/waveburst
Processing ./config/user_parameters.C...
Processing /home/waveburst/git/cWB/library/tools/cwb/macros/cwb_eparameters.C...
Processing /home/waveburst/git/cWB/library/tools/cwb/macros/cwb_pparameters.C...
merge/wave_O2_BKG_L1H1_LF_WP10_tutorial_root6_run1.M1.V_cat2LH_hvetoLH.C_bin1_cut.root
merge/live_O2_BKG_L1H1_LF_WP10_tutorial_root6_run1.M1.V_cat2LH_hvetoLH.C_bin1_cut.root
Processing ./config/user_pparameters.C...
Processing /home/waveburst/git/cWB/library/tools/cwb/macros/cwb_epparameters.C...
veto_cat2 : veto_cat2_L1&&veto_cat2_H1
ch2 : netcc[0]>0.000000&&!(lag[2]==0&&slag[2]==0)&&(rho[0]>0.000000)&&(veto_cat2_L1&&veto_cat2_H1)
veto_vetoed : netcc[0]>0.000000&&!(lag[2]==0&&slag[2]==0)&&(rho[0]>0.000000)&&(veto_cat2_L1&&veto_cat2_H1)&&(veto_hveto_L1||veto_hveto_H1)
veto_not_vetoed : netcc[0]>0.000000&&!(lag[2]==0&&slag[2]==0)&&(rho[0]>0.000000)&&(veto_cat2_L1&&veto_cat2_H1)&&(!veto_hveto_L1&&!veto_hveto_H1)
Processing /home/waveburst/git/cWB/library/tools/cwb/macros/cwb_mkhtml_prod.C...
Opening merge/wave_O2_BKG_L1H1_LF_WP10_tutorial_root6_run1.M1.V_cat2LH_hvetoLH.C_bin1_cut.root
report/postprod/M1.V_cat2LH_hvetoLH.C_bin1_cut.R_rMRA_cat2_hveto_i0cc00_i0rho0_freq16_1024/body.html
convert report/postprod/M1.V_cat2LH_hvetoLH.C_bin1_cut.R_rMRA_cat2_hveto_i0cc00_i0rho0_freq16_1024/data/ECOR_frequency.eps report/postprod/M1.V_cat2LH_hvetoLH.C_bin1_cut.R_rMRA_cat2_hveto_i0cc00_i0rho0_freq16_1024/data/ECOR_frequency.gif
rm report/postprod/M1.V_cat2LH_hvetoLH.C_bin1_cut.R_rMRA_cat2_hveto_i0cc00_i0rho0_freq16_1024/data/ECOR_frequency.eps
convert report/postprod/M1.V_cat2LH_hvetoLH.C_bin1_cut.R_rMRA_cat2_hveto_i0cc00_i0rho0_freq16_1024/data/ecor_frequency.eps report/postprod/M1.V_cat2LH_hvetoLH.C_bin1_cut.R_rMRA_cat2_hveto_i0cc00_i0rho0_freq16_1024/data/ecor_frequency.gif
rm report/postprod/M1.V_cat2LH_hvetoLH.C_bin1_cut.R_rMRA_cat2_hveto_i0cc00_i0rho0_freq16_1024/data/ecor_frequency.eps
convert report/postprod/M1.V_cat2LH_hvetoLH.C_bin1_cut.R_rMRA_cat2_hveto_i0cc00_i0rho0_freq16_1024/data/rho_frequency.eps report/postprod/M1.V_cat2LH_hvetoLH.C_bin1_cut.R_rMRA_cat2_hveto_i0cc00_i0rho0_freq16_1024/data/rho_frequency.gif
rm report/postprod/M1.V_cat2LH_hvetoLH.C_bin1_cut.R_rMRA_cat2_hveto_i0cc00_i0rho0_freq16_1024/data/rho_frequency.eps
convert report/postprod/M1.V_cat2LH_hvetoLH.C_bin1_cut.R_rMRA_cat2_hveto_i0cc00_i0rho0_freq16_1024/data/rho_time.eps report/postprod/M1.V_cat2LH_hvetoLH.C_bin1_cut.R_rMRA_cat2_hveto_i0cc00_i0rho0_freq16_1024/data/rho_time.gif
rm report/postprod/M1.V_cat2LH_hvetoLH.C_bin1_cut.R_rMRA_cat2_hveto_i0cc00_i0rho0_freq16_1024/data/rho_time.eps
convert report/postprod/M1.V_cat2LH_hvetoLH.C_bin1_cut.R_rMRA_cat2_hveto_i0cc00_i0rho0_freq16_1024/data/penalty_vED.eps report/postprod/M1.V_cat2LH_hvetoLH.C_bin1_cut.R_rMRA_cat2_hveto_i0cc00_i0rho0_freq16_1024/data/penalty_vED.gif
rm report/postprod/M1.V_cat2LH_hvetoLH.C_bin1_cut.R_rMRA_cat2_hveto_i0cc00_i0rho0_freq16_1024/data/penalty_vED.eps
convert report/postprod/M1.V_cat2LH_hvetoLH.C_bin1_cut.R_rMRA_cat2_hveto_i0cc00_i0rho0_freq16_1024/data/rho_L.eps report/postprod/M1.V_cat2LH_hvetoLH.C_bin1_cut.R_rMRA_cat2_hveto_i0cc00_i0rho0_freq16_1024/data/rho_L.gif
rm report/postprod/M1.V_cat2LH_hvetoLH.C_bin1_cut.R_rMRA_cat2_hveto_i0cc00_i0rho0_freq16_1024/data/rho_L.eps
convert report/postprod/M1.V_cat2LH_hvetoLH.C_bin1_cut.R_rMRA_cat2_hveto_i0cc00_i0rho0_freq16_1024/data/penalty_ed.eps report/postprod/M1.V_cat2LH_hvetoLH.C_bin1_cut.R_rMRA_cat2_hveto_i0cc00_i0rho0_freq16_1024/data/penalty_ed.gif
rm report/postprod/M1.V_cat2LH_hvetoLH.C_bin1_cut.R_rMRA_cat2_hveto_i0cc00_i0rho0_freq16_1024/data/penalty_ed.eps
convert report/postprod/M1.V_cat2LH_hvetoLH.C_bin1_cut.R_rMRA_cat2_hveto_i0cc00_i0rho0_freq16_1024/data/penalty_cc.eps report/postprod/M1.V_cat2LH_hvetoLH.C_bin1_cut.R_rMRA_cat2_hveto_i0cc00_i0rho0_freq16_1024/data/penalty_cc.gif
rm report/postprod/M1.V_cat2LH_hvetoLH.C_bin1_cut.R_rMRA_cat2_hveto_i0cc00_i0rho0_freq16_1024/data/penalty_cc.eps
convert report/postprod/M1.V_cat2LH_hvetoLH.C_bin1_cut.R_rMRA_cat2_hveto_i0cc00_i0rho0_freq16_1024/data/fraction_time.eps report/postprod/M1.V_cat2LH_hvetoLH.C_bin1_cut.R_rMRA_cat2_hveto_i0cc00_i0rho0_freq16_1024/data/fraction_time.gif
rm report/postprod/M1.V_cat2LH_hvetoLH.C_bin1_cut.R_rMRA_cat2_hveto_i0cc00_i0rho0_freq16_1024/data/fraction_time.eps
convert report/postprod/M1.V_cat2LH_hvetoLH.C_bin1_cut.R_rMRA_cat2_hveto_i0cc00_i0rho0_freq16_1024/data/fraction_frequency.eps report/postprod/M1.V_cat2LH_hvetoLH.C_bin1_cut.R_rMRA_cat2_hveto_i0cc00_i0rho0_freq16_1024/data/fraction_frequency.gif
rm report/postprod/M1.V_cat2LH_hvetoLH.C_bin1_cut.R_rMRA_cat2_hveto_i0cc00_i0rho0_freq16_1024/data/fraction_frequency.eps
convert report/postprod/M1.V_cat2LH_hvetoLH.C_bin1_cut.R_rMRA_cat2_hveto_i0cc00_i0rho0_freq16_1024/data/frequency.eps report/postprod/M1.V_cat2LH_hvetoLH.C_bin1_cut.R_rMRA_cat2_hveto_i0cc00_i0rho0_freq16_1024/data/frequency.gif
rm report/postprod/M1.V_cat2LH_hvetoLH.C_bin1_cut.R_rMRA_cat2_hveto_i0cc00_i0rho0_freq16_1024/data/frequency.eps
convert report/postprod/M1.V_cat2LH_hvetoLH.C_bin1_cut.R_rMRA_cat2_hveto_i0cc00_i0rho0_freq16_1024/data/rate_time.eps report/postprod/M1.V_cat2LH_hvetoLH.C_bin1_cut.R_rMRA_cat2_hveto_i0cc00_i0rho0_freq16_1024/data/rate_time.gif
rm report/postprod/M1.V_cat2LH_hvetoLH.C_bin1_cut.R_rMRA_cat2_hveto_i0cc00_i0rho0_freq16_1024/data/rate_time.eps
convert report/postprod/M1.V_cat2LH_hvetoLH.C_bin1_cut.R_rMRA_cat2_hveto_i0cc00_i0rho0_freq16_1024/data/rate_lag.eps report/postprod/M1.V_cat2LH_hvetoLH.C_bin1_cut.R_rMRA_cat2_hveto_i0cc00_i0rho0_freq16_1024/data/rate_lag.gif
rm report/postprod/M1.V_cat2LH_hvetoLH.C_bin1_cut.R_rMRA_cat2_hveto_i0cc00_i0rho0_freq16_1024/data/rate_lag.eps
convert report/postprod/M1.V_cat2LH_hvetoLH.C_bin1_cut.R_rMRA_cat2_hveto_i0cc00_i0rho0_freq16_1024/data/live_lag.eps report/postprod/M1.V_cat2LH_hvetoLH.C_bin1_cut.R_rMRA_cat2_hveto_i0cc00_i0rho0_freq16_1024/data/live_lag.gif
rm report/postprod/M1.V_cat2LH_hvetoLH.C_bin1_cut.R_rMRA_cat2_hveto_i0cc00_i0rho0_freq16_1024/data/live_lag.eps
convert report/postprod/M1.V_cat2LH_hvetoLH.C_bin1_cut.R_rMRA_cat2_hveto_i0cc00_i0rho0_freq16_1024/data/rate_threshold.eps report/postprod/M1.V_cat2LH_hvetoLH.C_bin1_cut.R_rMRA_cat2_hveto_i0cc00_i0rho0_freq16_1024/data/rate_threshold.gif
rm report/postprod/M1.V_cat2LH_hvetoLH.C_bin1_cut.R_rMRA_cat2_hveto_i0cc00_i0rho0_freq16_1024/data/rate_threshold.eps
convert report/postprod/M1.V_cat2LH_hvetoLH.C_bin1_cut.R_rMRA_cat2_hveto_i0cc00_i0rho0_freq16_1024/data/rate_threshold_veto.eps report/postprod/M1.V_cat2LH_hvetoLH.C_bin1_cut.R_rMRA_cat2_hveto_i0cc00_i0rho0_freq16_1024/data/rate_threshold_veto.gif
rm report/postprod/M1.V_cat2LH_hvetoLH.C_bin1_cut.R_rMRA_cat2_hveto_i0cc00_i0rho0_freq16_1024/data/rate_threshold_veto.eps
convert report/postprod/M1.V_cat2LH_hvetoLH.C_bin1_cut.R_rMRA_cat2_hveto_i0cc00_i0rho0_freq16_1024/data/rate_threshold_veto_compare.eps report/postprod/M1.V_cat2LH_hvetoLH.C_bin1_cut.R_rMRA_cat2_hveto_i0cc00_i0rho0_freq16_1024/data/rate_threshold_veto_compare.gif
rm report/postprod/M1.V_cat2LH_hvetoLH.C_bin1_cut.R_rMRA_cat2_hveto_i0cc00_i0rho0_freq16_1024/data/rate_threshold_veto_compare.eps
convert report/postprod/M1.V_cat2LH_hvetoLH.C_bin1_cut.R_rMRA_cat2_hveto_i0cc00_i0rho0_freq16_1024/data/density.eps report/postprod/M1.V_cat2LH_hvetoLH.C_bin1_cut.R_rMRA_cat2_hveto_i0cc00_i0rho0_freq16_1024/data/density.gif
rm report/postprod/M1.V_cat2LH_hvetoLH.C_bin1_cut.R_rMRA_cat2_hveto_i0cc00_i0rho0_freq16_1024/data/density.eps
convert report/postprod/M1.V_cat2LH_hvetoLH.C_bin1_cut.R_rMRA_cat2_hveto_i0cc00_i0rho0_freq16_1024/data/penalty.eps report/postprod/M1.V_cat2LH_hvetoLH.C_bin1_cut.R_rMRA_cat2_hveto_i0cc00_i0rho0_freq16_1024/data/penalty.gif
rm report/postprod/M1.V_cat2LH_hvetoLH.C_bin1_cut.R_rMRA_cat2_hveto_i0cc00_i0rho0_freq16_1024/data/penalty.eps
convert report/postprod/M1.V_cat2LH_hvetoLH.C_bin1_cut.R_rMRA_cat2_hveto_i0cc00_i0rho0_freq16_1024/data/vED.eps report/postprod/M1.V_cat2LH_hvetoLH.C_bin1_cut.R_rMRA_cat2_hveto_i0cc00_i0rho0_freq16_1024/data/vED.gif
rm report/postprod/M1.V_cat2LH_hvetoLH.C_bin1_cut.R_rMRA_cat2_hveto_i0cc00_i0rho0_freq16_1024/data/vED.eps
convert report/postprod/M1.V_cat2LH_hvetoLH.C_bin1_cut.R_rMRA_cat2_hveto_i0cc00_i0rho0_freq16_1024/data/netcor.eps report/postprod/M1.V_cat2LH_hvetoLH.C_bin1_cut.R_rMRA_cat2_hveto_i0cc00_i0rho0_freq16_1024/data/netcor.gif
rm report/postprod/M1.V_cat2LH_hvetoLH.C_bin1_cut.R_rMRA_cat2_hveto_i0cc00_i0rho0_freq16_1024/data/netcor.eps
convert report/postprod/M1.V_cat2LH_hvetoLH.C_bin1_cut.R_rMRA_cat2_hveto_i0cc00_i0rho0_freq16_1024/data/ecor.eps report/postprod/M1.V_cat2LH_hvetoLH.C_bin1_cut.R_rMRA_cat2_hveto_i0cc00_i0rho0_freq16_1024/data/ecor.gif
rm report/postprod/M1.V_cat2LH_hvetoLH.C_bin1_cut.R_rMRA_cat2_hveto_i0cc00_i0rho0_freq16_1024/data/ecor.eps
convert report/postprod/M1.V_cat2LH_hvetoLH.C_bin1_cut.R_rMRA_cat2_hveto_i0cc00_i0rho0_freq16_1024/data/rho.eps report/postprod/M1.V_cat2LH_hvetoLH.C_bin1_cut.R_rMRA_cat2_hveto_i0cc00_i0rho0_freq16_1024/data/rho.gif
rm report/postprod/M1.V_cat2LH_hvetoLH.C_bin1_cut.R_rMRA_cat2_hveto_i0cc00_i0rho0_freq16_1024/data/rho.eps
convert report/postprod/M1.V_cat2LH_hvetoLH.C_bin1_cut.R_rMRA_cat2_hveto_i0cc00_i0rho0_freq16_1024/data/ECOR.eps report/postprod/M1.V_cat2LH_hvetoLH.C_bin1_cut.R_rMRA_cat2_hveto_i0cc00_i0rho0_freq16_1024/data/ECOR.gif
rm report/postprod/M1.V_cat2LH_hvetoLH.C_bin1_cut.R_rMRA_cat2_hveto_i0cc00_i0rho0_freq16_1024/data/ECOR.eps
convert report/postprod/M1.V_cat2LH_hvetoLH.C_bin1_cut.R_rMRA_cat2_hveto_i0cc00_i0rho0_freq16_1024/data/likelihood.eps report/postprod/M1.V_cat2LH_hvetoLH.C_bin1_cut.R_rMRA_cat2_hveto_i0cc00_i0rho0_freq16_1024/data/likelihood.gif
rm report/postprod/M1.V_cat2LH_hvetoLH.C_bin1_cut.R_rMRA_cat2_hveto_i0cc00_i0rho0_freq16_1024/data/likelihood.eps
convert report/postprod/M1.V_cat2LH_hvetoLH.C_bin1_cut.R_rMRA_cat2_hveto_i0cc00_i0rho0_freq16_1024/data/Mchirp.eps report/postprod/M1.V_cat2LH_hvetoLH.C_bin1_cut.R_rMRA_cat2_hveto_i0cc00_i0rho0_freq16_1024/data/Mchirp.gif
rm report/postprod/M1.V_cat2LH_hvetoLH.C_bin1_cut.R_rMRA_cat2_hveto_i0cc00_i0rho0_freq16_1024/data/Mchirp.eps
convert report/postprod/M1.V_cat2LH_hvetoLH.C_bin1_cut.R_rMRA_cat2_hveto_i0cc00_i0rho0_freq16_1024/data/McErr.eps report/postprod/M1.V_cat2LH_hvetoLH.C_bin1_cut.R_rMRA_cat2_hveto_i0cc00_i0rho0_freq16_1024/data/McErr.gif
rm report/postprod/M1.V_cat2LH_hvetoLH.C_bin1_cut.R_rMRA_cat2_hveto_i0cc00_i0rho0_freq16_1024/data/McErr.eps
convert report/postprod/M1.V_cat2LH_hvetoLH.C_bin1_cut.R_rMRA_cat2_hveto_i0cc00_i0rho0_freq16_1024/data/rho_subnet.eps report/postprod/M1.V_cat2LH_hvetoLH.C_bin1_cut.R_rMRA_cat2_hveto_i0cc00_i0rho0_freq16_1024/data/rho_subnet.gif
rm report/postprod/M1.V_cat2LH_hvetoLH.C_bin1_cut.R_rMRA_cat2_hveto_i0cc00_i0rho0_freq16_1024/data/rho_subnet.eps
convert report/postprod/M1.V_cat2LH_hvetoLH.C_bin1_cut.R_rMRA_cat2_hveto_i0cc00_i0rho0_freq16_1024/data/rho_vED.eps report/postprod/M1.V_cat2LH_hvetoLH.C_bin1_cut.R_rMRA_cat2_hveto_i0cc00_i0rho0_freq16_1024/data/rho_vED.gif
rm report/postprod/M1.V_cat2LH_hvetoLH.C_bin1_cut.R_rMRA_cat2_hveto_i0cc00_i0rho0_freq16_1024/data/rho_vED.eps
convert report/postprod/M1.V_cat2LH_hvetoLH.C_bin1_cut.R_rMRA_cat2_hveto_i0cc00_i0rho0_freq16_1024/data/rho_pf.eps report/postprod/M1.V_cat2LH_hvetoLH.C_bin1_cut.R_rMRA_cat2_hveto_i0cc00_i0rho0_freq16_1024/data/rho_pf.gif
rm report/postprod/M1.V_cat2LH_hvetoLH.C_bin1_cut.R_rMRA_cat2_hveto_i0cc00_i0rho0_freq16_1024/data/rho_pf.eps
convert report/postprod/M1.V_cat2LH_hvetoLH.C_bin1_cut.R_rMRA_cat2_hveto_i0cc00_i0rho0_freq16_1024/data/rho_cc.eps report/postprod/M1.V_cat2LH_hvetoLH.C_bin1_cut.R_rMRA_cat2_hveto_i0cc00_i0rho0_freq16_1024/data/rho_cc.gif
rm report/postprod/M1.V_cat2LH_hvetoLH.C_bin1_cut.R_rMRA_cat2_hveto_i0cc00_i0rho0_freq16_1024/data/rho_cc.eps
convert report/postprod/M1.V_cat2LH_hvetoLH.C_bin1_cut.R_rMRA_cat2_hveto_i0cc00_i0rho0_freq16_1024/data/ECOR_cc.eps report/postprod/M1.V_cat2LH_hvetoLH.C_bin1_cut.R_rMRA_cat2_hveto_i0cc00_i0rho0_freq16_1024/data/ECOR_cc.gif
rm report/postprod/M1.V_cat2LH_hvetoLH.C_bin1_cut.R_rMRA_cat2_hveto_i0cc00_i0rho0_freq16_1024/data/ECOR_cc.eps
convert report/postprod/M1.V_cat2LH_hvetoLH.C_bin1_cut.R_rMRA_cat2_hveto_i0cc00_i0rho0_freq16_1024/data/ecor_cc.eps report/postprod/M1.V_cat2LH_hvetoLH.C_bin1_cut.R_rMRA_cat2_hveto_i0cc00_i0rho0_freq16_1024/data/ecor_cc.gif
rm report/postprod/M1.V_cat2LH_hvetoLH.C_bin1_cut.R_rMRA_cat2_hveto_i0cc00_i0rho0_freq16_1024/data/ecor_cc.eps
convert report/postprod/M1.V_cat2LH_hvetoLH.C_bin1_cut.R_rMRA_cat2_hveto_i0cc00_i0rho0_freq16_1024/data/rho_mchirp.eps report/postprod/M1.V_cat2LH_hvetoLH.C_bin1_cut.R_rMRA_cat2_hveto_i0cc00_i0rho0_freq16_1024/data/rho_mchirp.gif
rm report/postprod/M1.V_cat2LH_hvetoLH.C_bin1_cut.R_rMRA_cat2_hveto_i0cc00_i0rho0_freq16_1024/data/rho_mchirp.eps
convert report/postprod/M1.V_cat2LH_hvetoLH.C_bin1_cut.R_rMRA_cat2_hveto_i0cc00_i0rho0_freq16_1024/data/phi_vs_theta_online.eps report/postprod/M1.V_cat2LH_hvetoLH.C_bin1_cut.R_rMRA_cat2_hveto_i0cc00_i0rho0_freq16_1024/data/phi_vs_theta_online.gif
rm report/postprod/M1.V_cat2LH_hvetoLH.C_bin1_cut.R_rMRA_cat2_hveto_i0cc00_i0rho0_freq16_1024/data/phi_vs_theta_online.eps
convert report/postprod/M1.V_cat2LH_hvetoLH.C_bin1_cut.R_rMRA_cat2_hveto_i0cc00_i0rho0_freq16_1024/data/ra_vs_dec_online.eps report/postprod/M1.V_cat2LH_hvetoLH.C_bin1_cut.R_rMRA_cat2_hveto_i0cc00_i0rho0_freq16_1024/data/ra_vs_dec_online.gif
rm report/postprod/M1.V_cat2LH_hvetoLH.C_bin1_cut.R_rMRA_cat2_hveto_i0cc00_i0rho0_freq16_1024/data/ra_vs_dec_online.eps
report/postprod/M1.V_cat2LH_hvetoLH.C_bin1_cut.R_rMRA_cat2_hveto_i0cc00_i0rho0_freq16_1024/data/live.txt
448800 1317139200
1 2 3 4 5 6 7 8 9 10 11 12 13 14 15 16 17 18 19 20 21 22 23 24 25 26 27 28 29 30 31 32 33 34 35 36 37 38 39 40
cat report/postprod/M1.V_cat2LH_hvetoLH.C_bin1_cut.R_rMRA_cat2_hveto_i0cc00_i0rho0_freq16_1024/data/events_header.txt report/postprod/M1.V_cat2LH_hvetoLH.C_bin1_cut.R_rMRA_cat2_hveto_i0cc00_i0rho0_freq16_1024/data/events_sorted.txt > report/postprod/M1.V_cat2LH_hvetoLH.C_bin1_cut.R_rMRA_cat2_hveto_i0cc00_i0rho0_freq16_1024/data/EVENTS.txt
rm report/postprod/M1.V_cat2LH_hvetoLH.C_bin1_cut.R_rMRA_cat2_hveto_i0cc00_i0rho0_freq16_1024/data/events_notsorted.txt
rm report/postprod/M1.V_cat2LH_hvetoLH.C_bin1_cut.R_rMRA_cat2_hveto_i0cc00_i0rho0_freq16_1024/data/events_header.txt
Warning in <TApplication::GetOptions>: macro not found
root [0]
Processing /home/waveburst/git/cWB/library/tools/cwb/macros/cwb_rootlogon.C...
OS : Linux
ROOT/WAT/CWB initialization starting...
Set Include Paths...
Load Libraries...
Warning in <TUnixSystem::SetDisplay>: DISPLAY not set, setting it to 151.95.123.14:0.0
Loading LAL Suite : /home/waveburst/SOFT//LAL/lalsuite_lal-master230218 ...
Loading cvode : /home/waveburst/SOFT//CVODE/cvode-2.7.0/dist ...
Loading cfitsio : /home/waveburst/SOFT//CFITSIO/cfitsio-3.45 ...
Loading HEALPix : /home/waveburst/SOFT//HEALPix/Healpix_3.40 ...
Loading WAT : /home/waveburst/git/cWB/library/tools/install/lib/wavelet.so ...
Loading Frame : /home/waveburst/SOFT//FRAMELIB/libframe-8.30_root-6.14.00_icc ...
Loading eBBH : /home/waveburst/git/cWB/library/tools/install/lib/eBBH.so ...
Loading STFT : /home/waveburst/git/cWB/library/tools/install/lib/STFT.so ...
Loading gwat : /home/waveburst/git/cWB/library/tools/install/lib/gwat.so ...
Loading Toolbox : /home/waveburst/git/cWB/library/tools/install/lib/Toolbox.so ...
Loading History : /home/waveburst/git/cWB/library/tools/install/lib/History.so ...
Loading Bicoherence : /home/waveburst/git/cWB/library/tools/install/lib/Bicoherence.so ...
Loading Filter : /home/waveburst/git/cWB/library/tools/install/lib/Filter.so ...
Loading CWB FRAME : /home/waveburst/git/cWB/library/tools/install/lib/frame.so ...
Loading cwb : /home/waveburst/git/cWB/library/tools/install/lib/cwb.so ...
Loading wavegraph : /home/waveburst/git/cWB/library/tools/install/lib/wavegraph.so ...
cWB library path : /home/waveburst/git/cWB/library
cWB config path : /home/waveburst/CONFIGS/cWB-config-master.2.8
****************************************************************************
* *
* W E L C O M E to C W B *
* *
* WAT Version 6.2.6.0 (XIFO=4) *
* Branch master/ *
* Hash 4fbcbfa076e28b708291a754cbbe7981f2ef2210 *
* Short Hash 4fbcbfa0 *
* *
* LAL Version 6.18.0.1 *
* FRLIB Version 8.30 *
* *
* Based on ROOT 6.14/00 *
* *
* ROOT6 ENABLED *
* CP11 ENABLED *
* ICC ENABLED *
* *
* CONFIG Tag master.2.8 *
* Hash f774dfad6c5704c7dd4856c87a00e774284c643a *
* *
****************************************************************************
Date: Thu Jul 26 19:11:41 2018 +0200
Compiled on Linux x86_64 ldas-pcdev5
Sat Jul 28 19:57:45 UTC 2018
Processing /home/waveburst/git/cWB/library/tools/cwb/macros/cwb2G_parameters.C...
www_dir : /home/waveburst/public_html/reports
data_label : O2_BKG_L1H1_LF_WP10_tutorial_root6_run1
condor_log : /usr1/waveburst
nodename : ldas-pcdev5
nodedir : /local/waveburst
Processing ./config/user_parameters.C...
Processing /home/waveburst/git/cWB/library/tools/cwb/macros/cwb_eparameters.C...
Processing /home/waveburst/git/cWB/library/tools/cwb/macros/cwb_pparameters.C...
merge/wave_O2_BKG_L1H1_LF_WP10_tutorial_root6_run1.M1.V_cat2LH_hvetoLH.C_bin1_cut.root
merge/live_O2_BKG_L1H1_LF_WP10_tutorial_root6_run1.M1.V_cat2LH_hvetoLH.C_bin1_cut.root
Processing ./config/user_pparameters.C...
Processing /home/waveburst/git/cWB/library/tools/cwb/macros/cwb_epparameters.C...
veto_cat2 : veto_cat2_L1&&veto_cat2_H1
ch2 : netcc[0]>0.000000&&!(lag[2]==0&&slag[2]==0)&&(rho[0]>0.000000)&&(veto_cat2_L1&&veto_cat2_H1)
veto_vetoed : netcc[0]>0.000000&&!(lag[2]==0&&slag[2]==0)&&(rho[0]>0.000000)&&(veto_cat2_L1&&veto_cat2_H1)&&(veto_hveto_L1||veto_hveto_H1)
veto_not_vetoed : netcc[0]>0.000000&&!(lag[2]==0&&slag[2]==0)&&(rho[0]>0.000000)&&(veto_cat2_L1&&veto_cat2_H1)&&(!veto_hveto_L1&&!veto_hveto_H1)
Processing /home/waveburst/git/cWB/library/tools/cwb/macros/cwb_condor_create_ced.C...
mkdir -p report/postprod/M1.V_cat2LH_hvetoLH.C_bin1_cut.R_rMRA_cat2_hveto_i0cc00_i0rho0_freq16_1024/ced
condor/O2_BKG_L1H1_LF_WP10_tutorial_root6_run1.M1.V_cat2LH_hvetoLH.C_bin1_cut.R_rMRA_cat2_hveto_i0cc00_i0rho0_freq16_1024.ced.sub
condor/O2_BKG_L1H1_LF_WP10_tutorial_root6_run1.M1.V_cat2LH_hvetoLH.C_bin1_cut.R_rMRA_cat2_hveto_i0cc00_i0rho0_freq16_1024.ced.dag
Simulation Example

PRE-PRODUCTION : Setup analysis
Create the Working Dir
cwb_mkdir O2_SIM1_LF_BRST_LH_WP10_tutorial_root6_run1
Prepare needed files
background parameters
//lags
lagSize = 590;
lagStep = 1.;
lagOff = 0;
lagMax = 0;
//superlags
slagSize = 5; // number of super lags (simulation=1) - if slagSize=0 -> Igor Segments
slagMin = 0; // if slagMax=0 -> slagMin must be < slagMax
slagMax = 400; // if slagMax=0 -> slagMax=slagSegs
slagOff = 0;
//simulation
nfactor = 1;
simulation = 0; // 0 -> background
plugin = TMacro("macro/cWB_Plugin_QLveto_Gating.C"); // Macro source
plugin.SetTitle("macro/cWB_Plugin_QLveto_Gating_C.so");
simulation parameters
//lags
lagSize = 1;
lagStep = 1.;
lagOff = 0;
lagMax = 0;
//superlags
slagSize = 1; // number of super lags (simulation=1) - if slagSize=0 -> Igor Segments
slagMin = 0; // if slagMax=0 -> slagMin must be < slagMax
slagMax = 0; // if slagMax=0 -> slagMax=slagSegs
slagOff = 0;
// simulation parameters
simulation = 1; // 1 for simulation, 0 for production
nfactor = 9; // number of strain factors
for(int i=0;i<nfactor;i++) factors[i]=pow(sqrt(3),i);
strcpy(injectionList,"input/O2_LF_BRST.inj");
plugin = TMacro("macro/cWB_Plugin_MDC_OTF_QLveto_Gating.C"); // Macro source
plugin.SetTitle("macro/cWB_Plugin_MDC_OTF_QLveto_Gating_C.so");
configPlugin = TMacro("macro/cWB_Plugin_O2_LF_BRST_BUILTIN_Config.C"); // Macro config
We can collect the differences into three parts:
Time lags: For efficiency studies we do not need time lags.
MDC amplitude factors: used to construct efficiency curve, the user should specifiy how many amplitude factors the pipeline should use for each waveform
MDC informations: the list of frames files, log file, the channels name and the waveform lists.
Define and Compile Plugin
cWB_Plugin_MDC_OTF.C - ( The cWB-MDC Engine )
cWB_Plugin_QLveto.C - ( Documentation )
cWB_Plugin_Gating.C - ( Documentation )
cwb_mplugin macro/cWB_Plugin_MDC_OTF_QLveto_Gating.C
$HOME_cWB/plugins/cWB_Plugin_MDC_OTF.C $HOME_cWB/plugins/cWB_Plugin_QLveto.C \
$HOME_cWB/plugins/cWB_Plugin_Gating.C
root -l -b macro/cWB_Plugin_MDC_OTF_QLveto_Gating.C++
Ignore errors like this:
Error: Function cWB_Plugin_Template() is not defined in current scope :0:
*** Interpreter error recovered ***
PRODUCTION - Run the analysis
Create & Submit Condor files
Submit the job to the cluster:
cwb_condor create
cwb_condor submit
POST-PRODUCTION : Collection of results
Merging files
As for Background case, we have to merge the files in ouput directory in a unique file:
cwb_merge M1 '--nthreads 8'
This produces the files on merge directory:
cwb_user_parameters.C
merge_O2_SIM1_LF_BRST_LH_WP10_tutorial_root6_run1.M1.lst the list of merged files
wave_O2_SIM1_LF_BRST_LH_WP10_tutorial_root6_run1.M1.root collection of trigger parameters
mdc_O2_SIM1_LF_BRST_LH_WP10_tutorial_root6_run1.M1.root (only for simulation) collection of mdc informations
(source direction, amplitude factors, ...)
Apply vetoes
see Apply vetoes in Background Example
Apply ifar
cwb_setifar M1.V_cat2LH_hvetoLH "--tsel bin1_cut --label bin1_cut --xfile /home/waveburst/TUTORIALS/O2/BKG/O2_BKG_L1H1_LF_WP10_tutorial_root6_run1/report/postprod/M1.V_cat2LH_hvetoLH.C_bin1_cut.R_rMRA_cat2_hveto_i0cc00_i0rho0_freq16_1024/data/far_rho.txt --mode exclusive"
cwb_setifar M1.V_cat2LH_hvetoLH.S_bin1_cut "--tsel bin2_cut --label bin2_cut --xfile /home/waveburst/TUTORIALS/O2/BKG/O2_BKG_L1H1_LF_WP10_tutorial_root6_run1/report/postprod/M1.V_cat2LH_hvetoLH.C_bin2_cut.R_rMRA_cat2_hveto_i0cc00_i0rho0_freq16_1024/data/far_rho.txt --mode exclusive"
- merge/mdc_O2_SIM1_LF_BRST_LH_WP10_tutorial_root6_run1.M1.V_cat2LH_hvetoLH.S_bin1_cut.root
- merge/merge_O2_SIM1_LF_BRST_LH_WP10_tutorial_root6_run1.M1.V_cat2LH_hvetoLH.S_bin1_cut.lst
- merge/wave_O2_SIM1_LF_BRST_LH_WP10_tutorial_root6_run1.M1.V_cat2LH_hvetoLH.S_bin1_cut.root
- merge/mdc_O2_SIM1_LF_BRST_LH_WP10_tutorial_root6_run1.M1.V_cat2LH_hvetoLH.S_bin1_cut.S_bin2_cut.root
- merge/merge_O2_SIM1_LF_BRST_LH_WP10_tutorial_root6_run1.M1.V_cat2LH_hvetoLH.S_bin1_cut.S_bin2_cut.lst
- merge/wave_O2_SIM1_LF_BRST_LH_WP10_tutorial_root6_run1.M1.V_cat2LH_hvetoLH.S_bin1_cut.S_bin2_cut.root
see here : merge directory
Web page production
In order to produce the plots of the reconstructed MDC parameters reported in Web pages, the user must create in the input directory a waveform lists file with the following format :
MDC_SET MDC_ID MDC_NAME MDC_CENTRAL_FREQUENCY MDC_BANDWIDTH
MDC_SET is used to catalog the waveforms in various sets (provided by the user)
MDC_ID The identification number associated to the MDC (from mdc_dump inj)
MDC_NAME The MDC name (defined by the cWB MC Engine)
MDC_CENTRAL_FREQUENCY The central frequency of the waveform (provided by the user)
MDC_BANDWIDTH The maximum variation of the reconstructed frequency of the waveform (provided by the user)
The file used for this simulation is input/O2_LF_BRST.inj :
GA 3 GA4d0 95 200
GA 2 GA2d5 125 200
GA 1 GA1d0 190 200
GA 0 GA0d1 400 200
SGEQ3 4 SGE70Q3 70 200
SGEQ3 5 SGE235Q3 235 200
SGEQ3 6 SGE849Q3 849 200
SGEQ9 7 SG70Q9 70 200
SGEQ9 8 SG100Q9 100 200
SGEQ9 9 SGE153Q9 153 200
SGEQ9 10 SG235Q9 235 200
SGEQ9 11 SG361Q9 361 200
SGEQ9 12 SGE554Q9 554 200
SGEQ9 13 SGE849Q9 849 200
SGEQ100 14 SGE70Q100 70 200
SGEQ100 15 SGE235Q100 235 200
SGEQ100 16 SGE849Q100 849 200
WNB 17 WNB150_100_0d100 150 200
WNB 18 WNB300_100_0d100 300 200
Modifing the first column it is possible to separate the waveforms in various sets, so each set has its proper space on the web page
The fourth column assigns a central frequency to the waveform (particularly useful for the plot hrss10%-50%-90% vs frequency)
The fifth column assigns the variation of the reconstructed frequency of the waveform (used for frequency plot)
To create the final report with ifar=8y it is sufficient to set T_ifar=8 in the user_pparameters.C and to do:
cwb_report M1.V_cat2LH_hvetoLH.S_bin1_cut.S_bin2_cut create
The web page
How to make a CED of a detected event
cedDump = true; // dump ced enabled
cedRHO = 4.0; // dump ced plots with rho>cedRHO
To produce CED in interactive mode the command cwb_inet must be used :
cwb_inet job_number gps_time true factor
cwb_inet 64 1167574554 ced 9
mv data/ced_1167574200_600_O2_SIM1_LF_BRST_LH_WP10_tutorial_root6_run1_9_job64 report/ced/
and can be view with a web browser at the following link : web CED link
Example of a search for intermediate mass black hole binaries
This page provides an overview of how to perform an all-sky search for intermediate mass black hole binaries (IMBHB) in LIGO-Virgo data. The first section outlines the main differences between the standard all-sky burst search and the IMBHB search. The second section describes how to optimise the cWB pipeline to target IMBHBs and how the analysis is launched.
For further information on the IMBHB searches conducted with the cWB pipeline, see the following documents:
G. Mazzolo’s PhD thesis (2013)
C. Pankow’s PhD thesis (2011)
Peculiarities of the IMBHB search
The procedure to set up and launch an IMBHB search is very similar to that for the standard all-sky burst search. The main differences between the two searches can be summarised as follows:
Targeted waveform: whereas the burst search targets unmodeled gravitational-wave transients, the IMBHB waveform is well modeled. Thus, the sensitivity of the burst search is tested by performing simulation studies with ad-hoc waveforms, that of the IMBHB search via accurate inspiral-merger-ringdown waveforms. When setting up the Monte Carlo simulation, the ad-hoc waveforms are typically distributed over the investigated frequency range. On the contrary, the IMBHB waveforms must be distributed over the binary’s physical parameter space (companions masses and spins).
Signal polarisation: whereas the burst search targets all classes of waveforms, regardless of the signal’s polarisation, the IMBHB search targets only on elliptically-polarised events.
Investigated frequency range: the burst search tipically spans the whole detectors bandwidth, whereas the IMBHB search focuses on the low-frequency end of the LIGO-Virgo band.
How to run an IMBHB search
As the procedures to launch the burst and IMBHB searches are very similar, we refer to the Background Example and the Simulation Example pages for the creation of the working environment and on how to run the analysis. In this section we describe how to account for the three main differences between the burst and IMBHB searches reported above.
How to set up Monte Carlo simulation studies for estimating the sensitivity to IMBHBs
To perform an “on-the-fly” detection-efficiency study, a plugin is generated to pass to cWB information on the IMBHB parameter space to be sampled and with which distribution. An example of plugin is available - cWB_Plugin_MDC_OTF_Config_EOBNRv2pseudoFourPN.C (the values can be changed as desired).
Selecting the low-frequency end of the LIGO-Virgo band
fLow = 16.; // for searches with advanced LIGO-Virgo detectors
fLow = 32.; // for searches with initial LIGO-Virgo detectors
fHigh = 512.;
int levelR = 4;
It is worth noting the following:
the lowest frequency is selected based on the detector’s calibration and sensitivity band.
the highest frequency depends on the low-mass end of the investigated IMBHB total-mass range. The lower the mass of the lightest systems, the higher the maximum frequency.
levelR (resampling level) is the power of two used to downsample the data and select the highest frequency. For this example, 512 = 8192 / 2**4
Accounting for the signal polarization
search = 'I';
The ‘I’ search applies the elliptical constraint during the likelihood maximization process. The elliptical constraint enchances the reconstruction of elliptically-polarized waveforms. This improves the rejection of noise event, which are not expected to be elliptically polarised.

